Links
اهلا وسهلا بكم في منتديات الاتحاد الكويتي لسباق حمام الزاجل كلمة الإدارة


> منتديات الاتحاد الكويتي لسباق حمام الزاجل > أخبار الاتحادات والاندية > اخبار الجمعية القطرية لهواة حمام الزاجل > نتيجة سباق رماح 2 -450 كلم- لموسم 2016-2017

« آخـــر الـــمـــشـــاركــــات »
         :: نتيجة السباق الخامس عشر – منيفه 200 كم – لنادي الوفرة مشتركة (شرقي وغربي) (آخر رد :الأتحاد الكويتي)       :: نتيجة السباق الخامس عشر – منيفه 200 كم – لنادى الوفرة غربي (آخر رد :الأتحاد الكويتي)       :: نتيجة السباق الخامس عشر – منيفه 200 كم – لنادى الوفرة شرقي (آخر رد :الأتحاد الكويتي)       :: نتيجة السباق الخامس عشر – منيفه 200 كم – لنادى سلوى (آخر رد :الأتحاد الكويتي)       :: نتيجة السباق الخامس عشر – منيفه 200 كم – لنادى أم الهيمان (آخر رد :الأتحاد الكويتي)       :: نتيجة السباق الخامس عشر – منيفه 200 كم – لنادى الفنيطيس (آخر رد :الأتحاد الكويتي)       :: نتيجة السباق الخامس عشر – منيفه 200 كم – لنادى الفروانية (آخر رد :الأتحاد الكويتي)       :: نتيجة السباق الخامس عشر – منيفه 200 كم – لنادى العبدلي (آخر رد :الأتحاد الكويتي)       :: نتيجة السباق الخامس عشر – منيفه 200 كم – لنادى الصباحية (آخر رد :الأتحاد الكويتي)       :: نتيجة السباق الخامس عشر – منيفه 200 كم – السباقات المشتركة (آخر رد :الأتحاد الكويتي)      

موضوع مغلق
 
أدوات الموضوع إبحث في الموضوع انواع عرض الموضوع
قديم 03-07-2017, 06:37 PM رقم المشاركة : 1
معلومات العضو
سفيان زواني
عضو جديد
New1 نتيجة سباق رماح 2 -450 كلم- لموسم 2016-2017


السلام عليكم ورحمة الله
السادة متتبعي الاتحاد الكويتي لسباق الحمام الزاجل .
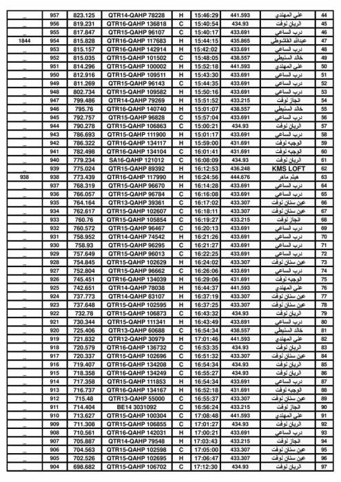
نظم المركز الشبابي للهوايات (الحمام الزاجل) السباق الثاني عشر لموسم 2016ـــ2017 سباق (450كلم) .
مر السباق في جو صعب ورياح معاكس ، حيث تمكن الهاوي جمال النعيمي -درب الساعي- من احراز المركز الآول على النتيجة العامة. مبروك للفائزين.

النتيجة العامة










قديم 03-07-2017, 08:17 PM رقم المشاركة : 2
معلومات العضو
فايز الدماك
عضو الاتحاد
إحصائية العضو







آخر مواضيعي

فايز الدماك غير متواجد حالياً


افتراضي

الف مبروكين للفائزين وحظ اوفر للبقية







قديم 03-07-2017, 10:53 PM رقم المشاركة : 3
معلومات العضو
فهد الوطري
عضو الاتحاد
افتراضي

الف مبروك للجميع وحظ أوفر للبقية







التوقيع


visit our web : www.q8zajel.com

موقع مزادات كويت بيبا

www.q8pipa.com

قديم 03-09-2017, 11:59 PM رقم المشاركة : 4
معلومات العضو
العبدلي
عضو متميز

الصورة الرمزية العبدلي

إحصائية العضو







آخر مواضيعي

0 مفقود طير

العبدلي غير متواجد حالياً


افتراضي

الف مبروك للجميع وحظ أوفر للبقية







التوقيع

سبحان الله وبحمده سبحان الله العظيم

قديم 03-27-2017, 04:50 PM رقم المشاركة : 5
معلومات العضو
جاسم ابو محمد
عضو مبدع
إحصائية العضو







آخر مواضيعي


جاسم ابو محمد غير متواجد حالياً


افتراضي

موفق بإذن الله ... لك مني أجمل تحية .







موضوع مغلق


تعليمات المشاركة
لا تستطيع إضافة مواضيع جديدة
لا تستطيع الرد على المواضيع
لا تستطيع إرفاق ملفات
لا تستطيع تعديل مشاركاتك

BB code is متاحة
كود [IMG] متاحة
كود HTML معطلة

الانتقال السريع


الساعة الآن 05:32 PM.


Powered by vBulletin® Special Version Ultimate Users, Copyright ©2000 - 2026, Jelsoft Enterprises Ltd.

Powered By SZ4h.com

جميع الحقوق محفوظة لموقع ومنتدي الاتحاد الكويتي لسباق حمام الزاجل