Links
اهلا وسهلا بكم في منتديات الاتحاد الكويتي لسباق حمام الزاجل كلمة الإدارة


> منتديات الاتحاد الكويتي لسباق حمام الزاجل > أخبار الاتحادات والاندية > اخبار الجمعية القطرية لهواة حمام الزاجل > نتيجة سباق النايفية 3 -210 كلم- لموسم 2016-2017

« آخـــر الـــمـــشـــاركــــات »
         :: نتيجة السباق السابع - الجبيل 320 كم - لنادي الوفرة غربي (آخر رد :الأتحاد الكويتي)       :: نتيجة السباق السابع - الجبيل 320 كم - لنادي الوفرة شرقي (آخر رد :الأتحاد الكويتي)       :: نتيجة السباق السابع - الجبيل 320 كم - لنادي الوفرة مشتركة ( غربي وشرقي) (آخر رد :الأتحاد الكويتي)       :: نتيجة السباق العاشر - الجبيل 320 كم - لنادي سلوى (آخر رد :الأتحاد الكويتي)       :: نتيجة السباق العاشر - الجبيل 320 كم - لنادي أم الهيمان (آخر رد :الأتحاد الكويتي)       :: نتيجة السباق العاشر - الجبيل 320 كم - لنادي الفنيطيس (آخر رد :الأتحاد الكويتي)       :: نتيجة السباق العاشر - الجبيل 320 كم - لنادي الفروانية (آخر رد :الأتحاد الكويتي)       :: نتيجة السباق العاشر - الجبيل 320 كم - لنادي العبدلي (آخر رد :الأتحاد الكويتي)       :: نتيجة السباق العاشر - الجبيل 320 كم - لنادي الصباحية (آخر رد :الأتحاد الكويتي)       :: نتيجة السباق العاشر - الجبيل 320 كم - السباقات المشتركة (آخر رد :الأتحاد الكويتي)      

موضوع مغلق
 
أدوات الموضوع إبحث في الموضوع انواع عرض الموضوع
قديم 02-19-2017, 10:54 AM رقم المشاركة : 1
معلومات العضو
سفيان زواني
عضو جديد
افتراضي نتيجة سباق النايفية 3 -210 كلم- لموسم 2016-2017

السلام عليكم ورحمة الله
السادة متتبعي الاتحاد الكويتي لسباق الحمام الزاجل .
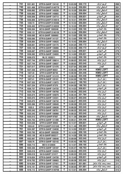
نظم المركز الشبابي للهوايات (الحمام الزاجل) تاسع سباق لموسم 2016ـــ2017 سباق النايفية 3 (210 كلم) .
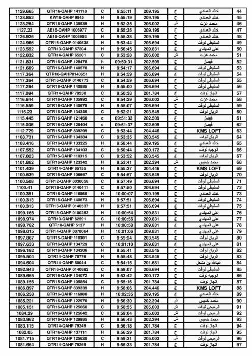
مر السباق في جو معتدل ورياح شمالي ، حيث تمكن الهاوي خالد السليطي من احراز المركز الآول على النتيجة الجنوبية و العامة والهاوي محمد عزت على اللجنة الشمالية . مبروك للفائزين.

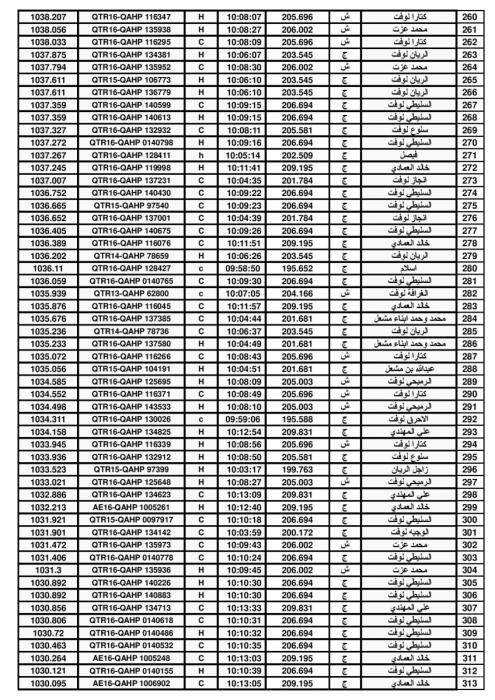
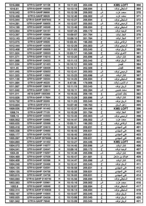
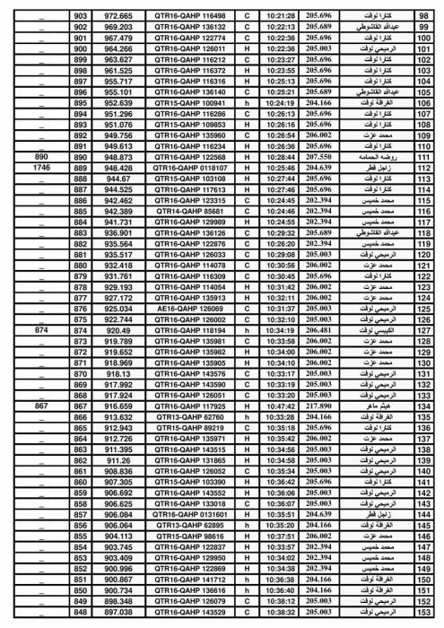
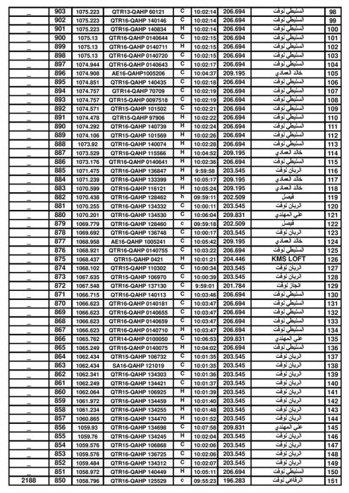
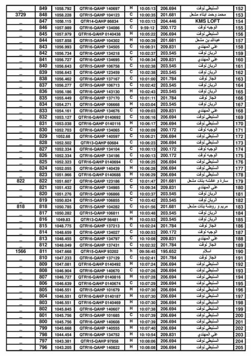
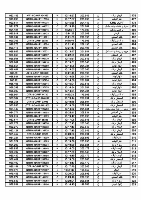
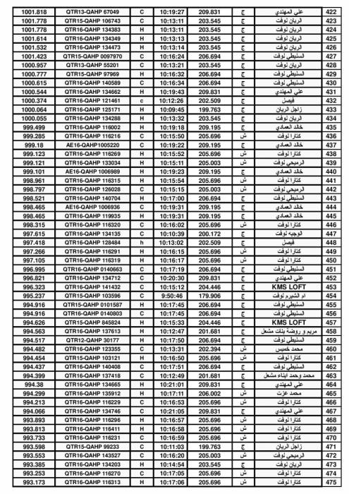
النتيجة العامة












اللجنة الجنوبية









اللجنة الشمالية










قديم 02-19-2017, 11:15 PM رقم المشاركة : 2
معلومات العضو
فايز الدماك
عضو الاتحاد
إحصائية العضو







آخر مواضيعي

فايز الدماك غير متواجد حالياً


افتراضي

الف مبروك للفائزين وحظ اوفر للبقية







قديم 02-20-2017, 01:16 AM رقم المشاركة : 3
معلومات العضو
ابوفوازyou
عضو جديد
افتراضي

الف مبروووووك للفائزين والله يوفق الجميع







قديم 02-20-2017, 01:50 AM رقم المشاركة : 4
معلومات العضو
فهد الوطري
عضو الاتحاد
افتراضي

الف مبروك للفائزين وحظ اوفر للبقية







التوقيع


visit our web : www.q8zajel.com

موقع مزادات كويت بيبا

www.q8pipa.com

قديم 02-23-2017, 12:59 AM رقم المشاركة : 5
معلومات العضو
العبدلي
عضو متميز

الصورة الرمزية العبدلي

إحصائية العضو







آخر مواضيعي

0 مفقود طير

العبدلي غير متواجد حالياً


افتراضي

مبروك الف مبروك للفائزين وحظ اوفر لباقي المتسابقين







التوقيع

سبحان الله وبحمده سبحان الله العظيم

قديم 04-03-2018, 11:55 PM رقم المشاركة : 6
معلومات العضو
جريح الزمن
عضو جديد
إحصائية العضو







آخر مواضيعي

جريح الزمن غير متواجد حالياً


افتراضي

اشكركم من عميق قلبي غلى المعلومات







قديم 04-03-2018, 11:57 PM رقم المشاركة : 7
معلومات العضو
جريح الزمن
عضو جديد
إحصائية العضو







آخر مواضيعي

جريح الزمن غير متواجد حالياً


افتراضي

اشكركم من عميق قلبي على المعلومات







موضوع مغلق


تعليمات المشاركة
لا تستطيع إضافة مواضيع جديدة
لا تستطيع الرد على المواضيع
لا تستطيع إرفاق ملفات
لا تستطيع تعديل مشاركاتك

BB code is متاحة
كود [IMG] متاحة
كود HTML معطلة

الانتقال السريع


الساعة الآن 07:00 PM.


Powered by vBulletin® Special Version Ultimate Users, Copyright ©2000 - 2026, Jelsoft Enterprises Ltd.

Powered By SZ4h.com

جميع الحقوق محفوظة لموقع ومنتدي الاتحاد الكويتي لسباق حمام الزاجل