Links
اهلا وسهلا بكم في منتديات الاتحاد الكويتي لسباق حمام الزاجل كلمة الإدارة


> منتديات الاتحاد الكويتي لسباق حمام الزاجل > أخبار الاتحادات والاندية > اخبار هواة الحمام الزاجل في العراق > نتائج جمعية ابطال ذي قار

« آخـــر الـــمـــشـــاركــــات »
         :: نتيجة السباق الخامس عشر – منيفه 200 كم – لنادي الوفرة مشتركة (شرقي وغربي) (آخر رد :الأتحاد الكويتي)       :: نتيجة السباق الخامس عشر – منيفه 200 كم – لنادى الوفرة غربي (آخر رد :الأتحاد الكويتي)       :: نتيجة السباق الخامس عشر – منيفه 200 كم – لنادى الوفرة شرقي (آخر رد :الأتحاد الكويتي)       :: نتيجة السباق الخامس عشر – منيفه 200 كم – لنادى سلوى (آخر رد :الأتحاد الكويتي)       :: نتيجة السباق الخامس عشر – منيفه 200 كم – لنادى أم الهيمان (آخر رد :الأتحاد الكويتي)       :: نتيجة السباق الخامس عشر – منيفه 200 كم – لنادى الفنيطيس (آخر رد :الأتحاد الكويتي)       :: نتيجة السباق الخامس عشر – منيفه 200 كم – لنادى الفروانية (آخر رد :الأتحاد الكويتي)       :: نتيجة السباق الخامس عشر – منيفه 200 كم – لنادى العبدلي (آخر رد :الأتحاد الكويتي)       :: نتيجة السباق الخامس عشر – منيفه 200 كم – لنادى الصباحية (آخر رد :الأتحاد الكويتي)       :: نتيجة السباق الخامس عشر – منيفه 200 كم – السباقات المشتركة (آخر رد :الأتحاد الكويتي)      

موضوع مغلق
 
أدوات الموضوع إبحث في الموضوع انواع عرض الموضوع
قديم 01-09-2014, 11:15 PM رقم المشاركة : 1
معلومات العضو
صاحب الناصري
عضو خاص

الصورة الرمزية صاحب الناصري

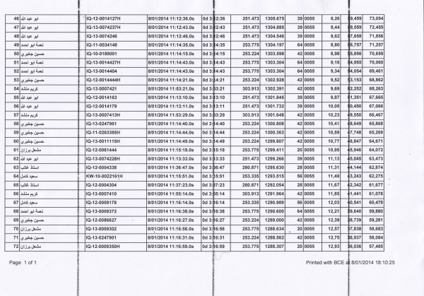
Hot News2 نتائج جمعية ابطال ذي قار









ااااااااااااالف مبروك للفائزين







التوقيع

قديم 01-10-2014, 01:23 AM رقم المشاركة : 2
معلومات العضو
علي الميع
المدير العام
افتراضي

الف مبروك لكل الفائزين وحظ اوفر لباقي المتسابقين







قديم 01-10-2014, 03:00 AM رقم المشاركة : 3
معلومات العضو
جاسم٧١
عضو نشط
إحصائية العضو







آخر مواضيعي


جاسم٧١ غير متواجد حالياً


افتراضي

الف مبروك لكل الفائزين وحظ اوفر لباقي المتسابقين







قديم 01-10-2014, 03:55 PM رقم المشاركة : 4
معلومات العضو
محمد الفزير
عضو الاتحاد

الصورة الرمزية محمد الفزير

إحصائية العضو







آخر مواضيعي

محمد الفزير غير متواجد حالياً


افتراضي

شـكــ وبارك الله فيك ـــرا لك ... لك مني أجمل تحية .
الف مبروك لكل المتسابقين وحظ اوفر لباقي
المتسابقين






التوقيع

قديم 01-10-2014, 10:07 PM رقم المشاركة : 5
معلومات العضو
Sprinter871
عضو الاتحاد

الصورة الرمزية Sprinter871

افتراضي

ألف مبروك .. موفين بإذن الله ... لكم مني أجمل تحية .







التوقيع

قديم 01-11-2014, 12:34 AM رقم المشاركة : 6
معلومات العضو
فاضل كربلاء
عضو مبدع

الصورة الرمزية فاضل كربلاء

إحصائية العضو








آخر مواضيعي


فاضل كربلاء غير متواجد حالياً


افتراضي

الف مبروك للفائزين وحظ اوفر لباقي. المتسابقين







قديم 01-11-2014, 12:53 AM رقم المشاركة : 7
معلومات العضو
عمر الزبيدي
عضو خاص

الصورة الرمزية عمر الزبيدي

افتراضي

الف الف مبروك للجميع ومشكور اخوية صاحب على نشر النتائج







قديم 01-11-2014, 02:01 PM رقم المشاركة : 8
معلومات العضو
تحسين ابو سامر
عضو خاص

الصورة الرمزية تحسين ابو سامر

إحصائية العضو







آخر مواضيعي

تحسين ابو سامر غير متواجد حالياً


افتراضي

الف مبروك لكل الفائزين وحظ اوفر لباقي المتسابقين







التوقيع

قديم 01-11-2014, 02:27 PM رقم المشاركة : 9
معلومات العضو
علي السوداني
عضو خاص

الصورة الرمزية علي السوداني

إحصائية العضو








آخر مواضيعي

علي السوداني غير متواجد حالياً


افتراضي

الف مبروك لجميع الفائزين وحظ اوفر للبقية المتسابقين







التوقيع

موضوع مغلق


تعليمات المشاركة
لا تستطيع إضافة مواضيع جديدة
لا تستطيع الرد على المواضيع
لا تستطيع إرفاق ملفات
لا تستطيع تعديل مشاركاتك

BB code is متاحة
كود [IMG] متاحة
كود HTML معطلة

الانتقال السريع


الساعة الآن 09:54 PM.


Powered by vBulletin® Special Version Ultimate Users, Copyright ©2000 - 2026, Jelsoft Enterprises Ltd.

Powered By SZ4h.com

جميع الحقوق محفوظة لموقع ومنتدي الاتحاد الكويتي لسباق حمام الزاجل