Links
اهلا وسهلا بكم في منتديات الاتحاد الكويتي لسباق حمام الزاجل كلمة الإدارة


> منتديات الاتحاد الكويتي لسباق حمام الزاجل > أخبار الاتحادات والاندية > اخبار هواة الحمام الزاجل في العراق > نتائج سباق الدوز لجمعية ذي قار للحمام الزاجل

« آخـــر الـــمـــشـــاركــــات »
         :: نتيجة السباق السابع - الجبيل 320 كم - لنادي الوفرة غربي (آخر رد :الأتحاد الكويتي)       :: نتيجة السباق السابع - الجبيل 320 كم - لنادي الوفرة شرقي (آخر رد :الأتحاد الكويتي)       :: نتيجة السباق السابع - الجبيل 320 كم - لنادي الوفرة مشتركة ( غربي وشرقي) (آخر رد :الأتحاد الكويتي)       :: نتيجة السباق العاشر - الجبيل 320 كم - لنادي سلوى (آخر رد :الأتحاد الكويتي)       :: نتيجة السباق العاشر - الجبيل 320 كم - لنادي أم الهيمان (آخر رد :الأتحاد الكويتي)       :: نتيجة السباق العاشر - الجبيل 320 كم - لنادي الفنيطيس (آخر رد :الأتحاد الكويتي)       :: نتيجة السباق العاشر - الجبيل 320 كم - لنادي الفروانية (آخر رد :الأتحاد الكويتي)       :: نتيجة السباق العاشر - الجبيل 320 كم - لنادي العبدلي (آخر رد :الأتحاد الكويتي)       :: نتيجة السباق العاشر - الجبيل 320 كم - لنادي الصباحية (آخر رد :الأتحاد الكويتي)       :: نتيجة السباق العاشر - الجبيل 320 كم - السباقات المشتركة (آخر رد :الأتحاد الكويتي)      

موضوع مغلق
 
أدوات الموضوع إبحث في الموضوع انواع عرض الموضوع
قديم 01-22-2014, 03:51 PM رقم المشاركة : 1
معلومات العضو
فلاح العراقي
عضو متميز

الصورة الرمزية فلاح العراقي

افتراضي نتائج سباق الدوز لجمعية ذي قار للحمام الزاجل

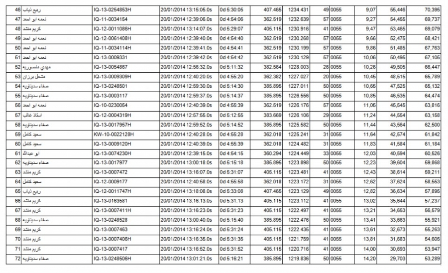
السلام عليكم اخوتي

اقدم لحضراتكم نتائج سباق الدوز لجمعية ذي قار للحمام الزاجل









تحياتي






التوقيع



اذا غشك صديقك فاجعله مع عدوك

قديم 01-22-2014, 04:37 PM رقم المشاركة : 2
معلومات العضو
جاسم٧١
عضو نشط
إحصائية العضو







آخر مواضيعي


جاسم٧١ غير متواجد حالياً


افتراضي

الف مبروك للفائزين وحظ اوفر للي لم يحالفه الحظ

موفق بإذن الله ... لك مني أجمل تحية .







قديم 01-22-2014, 07:12 PM رقم المشاركة : 3
معلومات العضو
تحسين ابو سامر
عضو خاص

الصورة الرمزية تحسين ابو سامر

إحصائية العضو







آخر مواضيعي

تحسين ابو سامر غير متواجد حالياً


افتراضي

الف الف مبروك للجميع الفائزين
موفق بإذن الله ... لك مني أجمل تحية .







التوقيع

قديم 01-22-2014, 09:05 PM رقم المشاركة : 4
معلومات العضو
فهد الوطري
عضو الاتحاد
افتراضي

الف مبروك للفائزين وحظ اوفر للي لم يحالفه الحظ

موفق بإذن الله ... لك مني أجمل تحية .







التوقيع


visit our web : www.q8zajel.com

موقع مزادات كويت بيبا

www.q8pipa.com

قديم 01-22-2014, 11:36 PM رقم المشاركة : 5
معلومات العضو
علي الميع
المدير العام
افتراضي

الف مبروك للفائزين وحظ اوفر للي لم يحالفه الحظ

موفق بإذن الله ... لك مني أجمل تحية .






قديم 01-23-2014, 01:28 AM رقم المشاركة : 6
معلومات العضو
فاضل كربلاء
عضو مبدع

الصورة الرمزية فاضل كربلاء

إحصائية العضو








آخر مواضيعي


فاضل كربلاء غير متواجد حالياً


افتراضي

الف مبروك للفائزين وحظ اوفر لباقي المتسابقين







قديم 01-23-2014, 01:56 AM رقم المشاركة : 7
معلومات العضو
عتيج_المسيان
مدير

الصورة الرمزية عتيج_المسيان

افتراضي

السلام عليكم ورحمة الله وبركاته

ألف مبروك للفائزين ..... وحظ اوفر لباقي المتسابقين

موفقين بإذن الله ... لكم مني أجمل تحية






التوقيع

الميـــــــــــــــراج __ The Mirage Loft

www.kwtzajelunion.com

تابعو نتائج السباقات واخبار الاتحاد على التويتر

Kwtzajelunion@

قال رسول الله صلى الله عليه وسلم : لا تحاسدوا ، ولا تناجشوا ، ولا تباغضوا ، ولا تدابروا
ولا يبع بعضكم على بيع بعض ، وكونوا عباد الله إخوانا ، المسلم أخو المسلم ، لا يظلمه ، ولا يخذله ، ولا يكذبه ، ولا يحقره

ـــــــــــــــــــــــ


ستـــــوك الميـــــراج


الـــــزوج الـــــذهبي

دك ميـــــرمـــــن

سواريز x ديين




قديم 01-24-2014, 12:29 PM رقم المشاركة : 8
معلومات العضو
حيدر يونس
عضو جديد

الصورة الرمزية حيدر يونس

إحصائية العضو







آخر مواضيعي


حيدر يونس غير متواجد حالياً


افتراضي

ألف مبروك للاخوه الفائزين حض اوفر لبقيه المتسابقين







التوقيع

موفق بإذن الله ... لك مني أجمل تحية
. ابن المجر
موضوع مغلق

الكلمات الدلالية (Tags)
حمام الزاجل.ذي قار


تعليمات المشاركة
لا تستطيع إضافة مواضيع جديدة
لا تستطيع الرد على المواضيع
لا تستطيع إرفاق ملفات
لا تستطيع تعديل مشاركاتك

BB code is متاحة
كود [IMG] متاحة
كود HTML معطلة

الانتقال السريع


الساعة الآن 05:22 PM.


Powered by vBulletin® Special Version Ultimate Users, Copyright ©2000 - 2026, Jelsoft Enterprises Ltd.

Powered By SZ4h.com

جميع الحقوق محفوظة لموقع ومنتدي الاتحاد الكويتي لسباق حمام الزاجل