دخول
-
عضو جديد
-
أسترجاع كلمة المرور
مركز رفع الصور
التعليمـــات
التقويم
مشاركات اليوم
البحث
اهلا وسهلا بكم في منتديات الاتحاد الكويتي لسباق حمام الزاجل
كلمة الإدارة
>
منتديات الاتحاد الكويتي لسباق حمام الزاجل
>
أخبار الاتحادات والاندية
>
اخبار هواة الحمام الزاجل في العراق
>
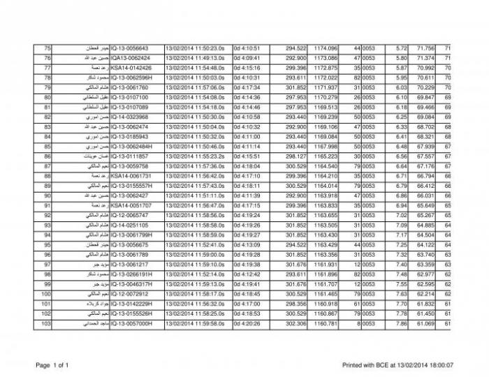
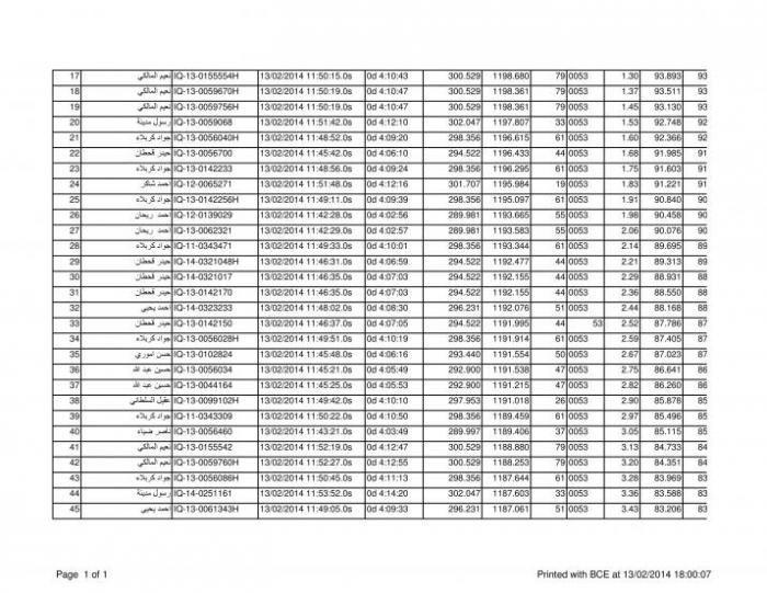
نتائج سباق سوق الشيوخ (الجمعية العراقية للحمام الزاجل) كربلاء 2014/2013
البحث في المنتدى
عرض المواضيع
عرض المشاركات
بحث بالكلمة الدلالية
البحث المتقدم
مركز رفع الصور
صوري المرفوعة
رفع صورة
الذهاب إلى الصفحة...
« آخـــر الـــمـــشـــاركــــات »
 
::
نتيجة السباق الخامس عشر – منيفه 200 كم – لنادي الوفرة مشتركة (شرقي وغربي)
(آخر رد :الأتحاد الكويتي)
::
نتيجة السباق الخامس عشر – منيفه 200 كم – لنادى الوفرة غربي
(آخر رد :الأتحاد الكويتي)
::
نتيجة السباق الخامس عشر – منيفه 200 كم – لنادى الوفرة شرقي
(آخر رد :الأتحاد الكويتي)
::
نتيجة السباق الخامس عشر – منيفه 200 كم – لنادى سلوى
(آخر رد :الأتحاد الكويتي)
::
نتيجة السباق الخامس عشر – منيفه 200 كم – لنادى أم الهيمان
(آخر رد :الأتحاد الكويتي)
::
نتيجة السباق الخامس عشر – منيفه 200 كم – لنادى الفنيطيس
(آخر رد :الأتحاد الكويتي)
::
نتيجة السباق الخامس عشر – منيفه 200 كم – لنادى الفروانية
(آخر رد :الأتحاد الكويتي)
::
نتيجة السباق الخامس عشر – منيفه 200 كم – لنادى العبدلي
(آخر رد :الأتحاد الكويتي)
::
نتيجة السباق الخامس عشر – منيفه 200 كم – لنادى الصباحية
(آخر رد :الأتحاد الكويتي)
::
نتيجة السباق الخامس عشر – منيفه 200 كم – السباقات المشتركة
(آخر رد :الأتحاد الكويتي)
أدوات الموضوع
إبحث في الموضوع
انواع عرض الموضوع
Prev
Next
02-23-2014, 12:37 AM
رقم المشاركة :
1
معلومات
العضو
هشام المالكي
عضو مشارك
إحصائية العضو
آ
خر مواضيعي
0
نتائج سباق الحمزة(الجمعية العراقية للحمام الزاجل) كربلاء 2014/2013
0
مبرووووووووك جواد كربلاء
0
النعناع وماادراك ما النعناع
0
روايه
0
صايد طير كويتي 2006
نتائج سباق سوق الشيوخ (الجمعية العراقية للحمام الزاجل) كربلاء 2014/2013
نتائج سباق سوق الشيوخ (الجمعية العراقية للحمام الزاجل) كربلاء 2014/2013
هشام المالكي
مشاهدة ملفه الشخصي
إرسال رسالة خاصة إلى هشام المالكي
البحث عن المشاركات التي كتبها هشام المالكي
«
الموضوع السابق
|
الموضوع التالي
»
أدوات الموضوع
مشاهدة صفحة طباعة الموضوع
انواع عرض الموضوع
الانتقال إلى العرض العادي
الانتقال إلى العرض المتطور
العرض الشجري
إبحث في الموضوع
البحث المتقدم
تعليمات المشاركة
لا تستطيع
إضافة مواضيع جديدة
لا تستطيع
الرد على المواضيع
لا تستطيع
إرفاق ملفات
لا تستطيع
تعديل مشاركاتك
BB code
is
متاحة
الابتسامات
متاحة
كود [IMG]
متاحة
كود HTML
معطلة
قوانين المنتدى
الانتقال السريع
لوحة تحكم العضو
الرسائل الخاصة
الاشتراكات
المتواجدون الآن
البحث في المنتدى
الصفحة الرئيسية للمنتدى
المنتدي العام
منتدي المناسبات والترحيب / Congratulations and welcome
المنتدي العام / Public Forum
أخبار الاتحادات والاندية
اخبار الاتحاد الكويتي لسباق الحمام الزاجل Kuwait union news
اخبار جمعية الاتحاد الامارتي لسباق حمام الزاجل
اخبار الاتحاد السعودي لسباق حمام الزاجل
اخبار الجمعية القطرية لهواة حمام الزاجل
اخبار هواة الحمام الزاجل في العراق
اخبار نادي دبي لسباق حمام الزاجل
اخبار اتحاد مملكة البحرين لسباق حمام الزاجل
اخبار هواة الحمام الزاجل بجمهورية مصر العربية
اخبار الاتحاد المغربي لسباق حمام الزاجل
استديو للحمام
منتدي الفيديو للحمام الزاجل / Videos
منتدي الصور / Forum Photo
منتدي اخبار السباقات
نتائج سباقات الاتحاد الكويتي / Race results
النقطة الواحدة / One loft races
اخبار نقطة الشهيد فهد الاحمد لسباق حمام الزاجل
التفنيدات / Rebuttals
معلومات تخص حمام الزاجل
سلالات الزاجل / Pigeon Blood Line
لوفتات الزاجل / Pigeons Loft
امراض الحمام الزاجل / Diseases pigeon
معلومات عن الحمام / Information on the pigeon
نادي الحمام الطيار الكويتي
منتدي الحمام
انشطه الإتحاد الصيفيه / Summer activities
مزاد الحمام الزاجل / Pigeon Auction
حمام للبيع / Pigeon For sale
بيع وشراء مستلزمات حمام الزاجل / Buy and sell supplies
الحمام المفقود / Lost pigeon
الاقسام الادارية
الاقتراحات والشكاوي / Proposals and Complaints
قوانين المنتدي / The laws of the forum
الارشيف / Archive
التفنيدات / Rebuttals
نتائج السباقات / Race Result
الساعة الآن
10:51 PM
.
الاتصال بنا
-
الاتحاد الكويتي لسباق حمام الزاجل
-
الأرشيف
-
الأعلى
Powered by vBulletin® Special Version Ultimate Users, Copyright ©2000 - 2026, Jelsoft Enterprises Ltd.
Powered By
SZ4h.com
جميع الحقوق محفوظة لموقع ومنتدي الاتحاد الكويتي لسباق حمام الزاجل
الرئيسية
الأنضمام
شركة تنظيف