Links
اهلا وسهلا بكم في منتديات الاتحاد الكويتي لسباق حمام الزاجل كلمة الإدارة


> منتديات الاتحاد الكويتي لسباق حمام الزاجل > أخبار الاتحادات والاندية > اخبار هواة الحمام الزاجل في العراق > نتائج سباق زاخو لجمعيه ابطال ذي قار (البرايكن البلجيكي )

« آخـــر الـــمـــشـــاركــــات »
         :: نتيجة السباق الخامس عشر – منيفه 200 كم – لنادي الوفرة مشتركة (شرقي وغربي) (آخر رد :الأتحاد الكويتي)       :: نتيجة السباق الخامس عشر – منيفه 200 كم – لنادى الوفرة غربي (آخر رد :الأتحاد الكويتي)       :: نتيجة السباق الخامس عشر – منيفه 200 كم – لنادى الوفرة شرقي (آخر رد :الأتحاد الكويتي)       :: نتيجة السباق الخامس عشر – منيفه 200 كم – لنادى سلوى (آخر رد :الأتحاد الكويتي)       :: نتيجة السباق الخامس عشر – منيفه 200 كم – لنادى أم الهيمان (آخر رد :الأتحاد الكويتي)       :: نتيجة السباق الخامس عشر – منيفه 200 كم – لنادى الفنيطيس (آخر رد :الأتحاد الكويتي)       :: نتيجة السباق الخامس عشر – منيفه 200 كم – لنادى الفروانية (آخر رد :الأتحاد الكويتي)       :: نتيجة السباق الخامس عشر – منيفه 200 كم – لنادى العبدلي (آخر رد :الأتحاد الكويتي)       :: نتيجة السباق الخامس عشر – منيفه 200 كم – لنادى الصباحية (آخر رد :الأتحاد الكويتي)       :: نتيجة السباق الخامس عشر – منيفه 200 كم – السباقات المشتركة (آخر رد :الأتحاد الكويتي)      

موضوع مغلق
 
أدوات الموضوع إبحث في الموضوع انواع عرض الموضوع
قديم 03-17-2014, 02:10 PM رقم المشاركة : 1
معلومات العضو
فلاح العراقي
عضو متميز

الصورة الرمزية فلاح العراقي

افتراضي نتائج سباق زاخو لجمعيه ابطال ذي قار (البرايكن البلجيكي )

بسم الله الرحمن الرحيم
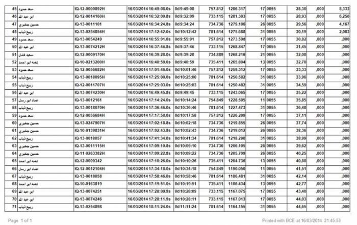
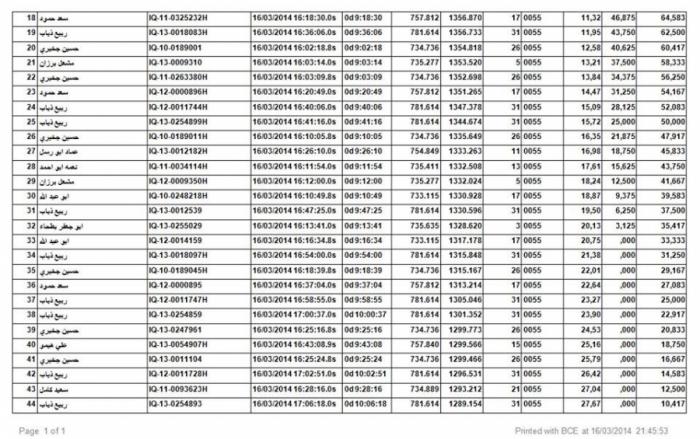
اعرض عليكم نتائج سباق زاخو لجمعية ذي قار لسباقات البرايكون[
FONT="Arial Black"]


[/url][url=http://www.kwtzajelunion.com/vb/vbimghost.php?do=displayimg&imgid=18731][/url
[/FONT]]






التوقيع



اذا غشك صديقك فاجعله مع عدوك

قديم 03-17-2014, 02:35 PM رقم المشاركة : 2
معلومات العضو
انور الزيدي
عضو هام

الصورة الرمزية انور الزيدي

افتراضي

ألف مبروك .. لقد سعدت بهذا الخبر







التوقيع

يقول فيثاغورث : كثرة حسادك شهادة لك على نجاحك

قديم 03-17-2014, 07:36 PM رقم المشاركة : 3
معلومات العضو
فهد الوطري
عضو الاتحاد
افتراضي

الف مبروك لكل الابطال الفائزين بهذا السباق الطويل

موفق بإذن الله ... لك مني أجمل تحية .







التوقيع


visit our web : www.q8zajel.com

موقع مزادات كويت بيبا

www.q8pipa.com

قديم 03-17-2014, 09:35 PM رقم المشاركة : 4
معلومات العضو
فاضل كربلاء
عضو مبدع

الصورة الرمزية فاضل كربلاء

إحصائية العضو








آخر مواضيعي


فاضل كربلاء غير متواجد حالياً


افتراضي

الف مبروك للفائزين
وحظ اوفر لباقي المتسابقين







قديم 03-17-2014, 09:46 PM رقم المشاركة : 5
معلومات العضو
تحسين ابو سامر
عضو خاص

الصورة الرمزية تحسين ابو سامر

إحصائية العضو







آخر مواضيعي

تحسين ابو سامر غير متواجد حالياً


افتراضي

موفق بإذن الله ... لك مني أجمل تحية .







التوقيع

قديم 03-17-2014, 10:26 PM رقم المشاركة : 6
معلومات العضو
انور الزيدي
عضو هام

الصورة الرمزية انور الزيدي

افتراضي

بسم الله الرحمن الرحيم
تهانينا لاصحاااب الصدارة الابطـــــــــــــال
وحظ اوفر لمن لم يحالفه الحــــــــــــــــظ







التوقيع

يقول فيثاغورث : كثرة حسادك شهادة لك على نجاحك

قديم 03-18-2014, 01:46 AM رقم المشاركة : 7
معلومات العضو
عمار يا كويت
عضو جديد

الصورة الرمزية عمار يا كويت

إحصائية العضو







آخر مواضيعي

عمار يا كويت غير متواجد حالياً


افتراضي

الف مبروك للفائزين







التوقيع

ابوووو سلمااااان
٩٧٩٨٩٩٧٠

قديم 03-18-2014, 01:48 AM رقم المشاركة : 8
معلومات العضو
علي الميع
المدير العام
افتراضي

الف مبروك للفائزين






قديم 03-18-2014, 01:58 AM رقم المشاركة : 9
معلومات العضو
حجي فارس
عضو مشارك
افتراضي

الف مبروك للجميع







قديم 03-18-2014, 04:02 PM رقم المشاركة : 10
معلومات العضو
جاسم٧١
عضو نشط
إحصائية العضو







آخر مواضيعي


جاسم٧١ غير متواجد حالياً


افتراضي

الف مبروك للفائزين
وحظ اوفر لباقي المتسابقين







موضوع مغلق


تعليمات المشاركة
لا تستطيع إضافة مواضيع جديدة
لا تستطيع الرد على المواضيع
لا تستطيع إرفاق ملفات
لا تستطيع تعديل مشاركاتك

BB code is متاحة
كود [IMG] متاحة
كود HTML معطلة

الانتقال السريع


الساعة الآن 06:17 AM.


Powered by vBulletin® Special Version Ultimate Users, Copyright ©2000 - 2026, Jelsoft Enterprises Ltd.

Powered By SZ4h.com

جميع الحقوق محفوظة لموقع ومنتدي الاتحاد الكويتي لسباق حمام الزاجل