Links
اهلا وسهلا بكم في منتديات الاتحاد الكويتي لسباق حمام الزاجل كلمة الإدارة


> منتديات الاتحاد الكويتي لسباق حمام الزاجل > أخبار الاتحادات والاندية > اخبار هواة الحمام الزاجل في العراق > سباق النجمي لجمعية ذي قار

« آخـــر الـــمـــشـــاركــــات »
         :: نتيجة السباق السابع - الجبيل 320 كم - لنادي الوفرة غربي (آخر رد :الأتحاد الكويتي)       :: نتيجة السباق السابع - الجبيل 320 كم - لنادي الوفرة شرقي (آخر رد :الأتحاد الكويتي)       :: نتيجة السباق السابع - الجبيل 320 كم - لنادي الوفرة مشتركة ( غربي وشرقي) (آخر رد :الأتحاد الكويتي)       :: نتيجة السباق العاشر - الجبيل 320 كم - لنادي سلوى (آخر رد :الأتحاد الكويتي)       :: نتيجة السباق العاشر - الجبيل 320 كم - لنادي أم الهيمان (آخر رد :الأتحاد الكويتي)       :: نتيجة السباق العاشر - الجبيل 320 كم - لنادي الفنيطيس (آخر رد :الأتحاد الكويتي)       :: نتيجة السباق العاشر - الجبيل 320 كم - لنادي الفروانية (آخر رد :الأتحاد الكويتي)       :: نتيجة السباق العاشر - الجبيل 320 كم - لنادي العبدلي (آخر رد :الأتحاد الكويتي)       :: نتيجة السباق العاشر - الجبيل 320 كم - لنادي الصباحية (آخر رد :الأتحاد الكويتي)       :: نتيجة السباق العاشر - الجبيل 320 كم - السباقات المشتركة (آخر رد :الأتحاد الكويتي)      

موضوع مغلق
 
أدوات الموضوع إبحث في الموضوع انواع عرض الموضوع
قديم 12-27-2014, 01:41 PM رقم المشاركة : 1
معلومات العضو
انور الزيدي
عضو هام

الصورة الرمزية انور الزيدي

إحصائية العضو







آخر مواضيعي

انور الزيدي غير متواجد حالياً


افتراضي سباق النجمي لجمعية ذي قار

بسم الله الرحمن الرحيم

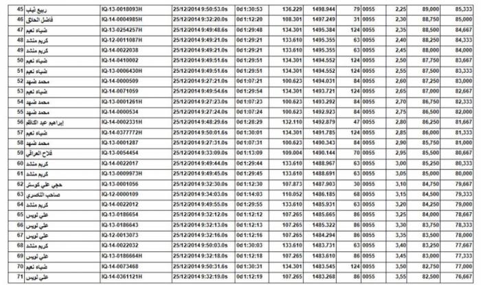
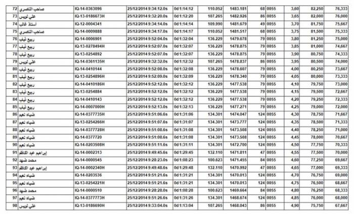
تم بعون الله افتتاح سباقات جمعيه ذي قار البرايكون البلجيكي للموسم الجديد بسباق النجمي ،،الف مبروك للفائزين ومبروك للادارة نجاح السباق بجدارة






التوقيع

يقول فيثاغورث : كثرة حسادك شهادة لك على نجاحك

قديم 12-27-2014, 04:18 PM رقم المشاركة : 2
معلومات العضو
علي البغدادي
عضو خاص

الصورة الرمزية علي البغدادي

افتراضي

ابطال العراق
الف الف مبروك لجميع الاخوة الفائزين






التوقيع

قديم 12-27-2014, 06:59 PM رقم المشاركة : 3
معلومات العضو
فهد الوطري
عضو الاتحاد
افتراضي

الف مبروك لجميع الاخوة الفائزين







التوقيع


visit our web : www.q8zajel.com

موقع مزادات كويت بيبا

www.q8pipa.com

قديم 12-27-2014, 07:05 PM رقم المشاركة : 4
معلومات العضو
فاضل كربلاء
عضو مبدع

الصورة الرمزية فاضل كربلاء

إحصائية العضو








آخر مواضيعي


فاضل كربلاء غير متواجد حالياً


افتراضي

الف مبروك للفائزين وحظ أوفر لباقي المتسابقين







قديم 12-27-2014, 07:25 PM رقم المشاركة : 5
معلومات العضو
عدنان الكليب
الــــمـدير الــــعــــام
افتراضي

ابطال العراق
الف الف مبروك لجميع الاخوة الفائزين
وحظ افر للباقي







التوقيع

عدنان الكليب
رئيس الاتحاد الكويتي لسباق الحمام الزاجل
ورئيس عام منتدى الاتحاد الكويتي لسباق الحمام الزاجل
قديم 12-28-2014, 01:21 AM رقم المشاركة : 6
معلومات العضو
تحسين ابو سامر
عضو خاص

الصورة الرمزية تحسين ابو سامر

إحصائية العضو







آخر مواضيعي

تحسين ابو سامر غير متواجد حالياً


افتراضي

الف الف مبروك لجميع الاخوة الفائزين
موفق بإذن الله ... لك مني أجمل تحية .







التوقيع

قديم 12-28-2014, 02:32 AM رقم المشاركة : 7
معلومات العضو
العبدلي
عضو متميز

الصورة الرمزية العبدلي

إحصائية العضو







آخر مواضيعي

0 مفقود طير

العبدلي غير متواجد حالياً


افتراضي

السلام عليكم ورحمة الله وبركاته

ألف مبروك للفائزين .. وحظ اوفر لباقي المتسابقين

موفق بإذن الله ... لك مني أجمل تحية







التوقيع

سبحان الله وبحمده سبحان الله العظيم

قديم 12-31-2014, 01:44 AM رقم المشاركة : 8
معلومات العضو
عاشق اصلي
عضو مبدع

الصورة الرمزية عاشق اصلي

افتراضي

الف مبروك للفائزين ومبروك لكل من ساهم بالسباق وتحيه للفائزين على رئسهم الاخ كريم منشد البطل المعروف على نطاق العراق







التوقيع

ء أخوكممممم الحاج نعيم المالكي كربلاء المقدسة مبايل 07733893343

قديم 01-02-2015, 12:37 AM رقم المشاركة : 9
معلومات العضو
علي عبد الحميد
عضو خاص
افتراضي

الف مبروك للفائزين ومبروك لكل من ساهم بالسباق وتحيه للفائزين على رئسهم الاخ كريم منشد البطل المعروف على نطاق العراق







موضوع مغلق


تعليمات المشاركة
لا تستطيع إضافة مواضيع جديدة
لا تستطيع الرد على المواضيع
لا تستطيع إرفاق ملفات
لا تستطيع تعديل مشاركاتك

BB code is متاحة
كود [IMG] متاحة
كود HTML معطلة

الانتقال السريع


الساعة الآن 05:22 PM.


Powered by vBulletin® Special Version Ultimate Users, Copyright ©2000 - 2026, Jelsoft Enterprises Ltd.

Powered By SZ4h.com

جميع الحقوق محفوظة لموقع ومنتدي الاتحاد الكويتي لسباق حمام الزاجل