Links
اهلا وسهلا بكم في منتديات الاتحاد الكويتي لسباق حمام الزاجل كلمة الإدارة


> منتديات الاتحاد الكويتي لسباق حمام الزاجل > أخبار الاتحادات والاندية > اخبار هواة الحمام الزاجل في العراق > سباق جسر الديوانية للجمعية العراقية لسباقات الحمام الزاجل فرع ذي قار

« آخـــر الـــمـــشـــاركــــات »
         :: نتيجة السباق الخامس عشر – منيفه 200 كم – لنادي الوفرة مشتركة (شرقي وغربي) (آخر رد :الأتحاد الكويتي)       :: نتيجة السباق الخامس عشر – منيفه 200 كم – لنادى الوفرة غربي (آخر رد :الأتحاد الكويتي)       :: نتيجة السباق الخامس عشر – منيفه 200 كم – لنادى الوفرة شرقي (آخر رد :الأتحاد الكويتي)       :: نتيجة السباق الخامس عشر – منيفه 200 كم – لنادى سلوى (آخر رد :الأتحاد الكويتي)       :: نتيجة السباق الخامس عشر – منيفه 200 كم – لنادى أم الهيمان (آخر رد :الأتحاد الكويتي)       :: نتيجة السباق الخامس عشر – منيفه 200 كم – لنادى الفنيطيس (آخر رد :الأتحاد الكويتي)       :: نتيجة السباق الخامس عشر – منيفه 200 كم – لنادى الفروانية (آخر رد :الأتحاد الكويتي)       :: نتيجة السباق الخامس عشر – منيفه 200 كم – لنادى العبدلي (آخر رد :الأتحاد الكويتي)       :: نتيجة السباق الخامس عشر – منيفه 200 كم – لنادى الصباحية (آخر رد :الأتحاد الكويتي)       :: نتيجة السباق الخامس عشر – منيفه 200 كم – السباقات المشتركة (آخر رد :الأتحاد الكويتي)      

موضوع مغلق
 
أدوات الموضوع إبحث في الموضوع انواع عرض الموضوع
قديم 01-02-2015, 03:32 PM رقم المشاركة : 1
معلومات العضو
انور الزيدي
عضو هام

الصورة الرمزية انور الزيدي

إحصائية العضو







آخر مواضيعي

انور الزيدي غير متواجد حالياً


Exelent سباق جسر الديوانية للجمعية العراقية لسباقات الحمام الزاجل فرع ذي قار

بسم الله الرحمن الرحيم
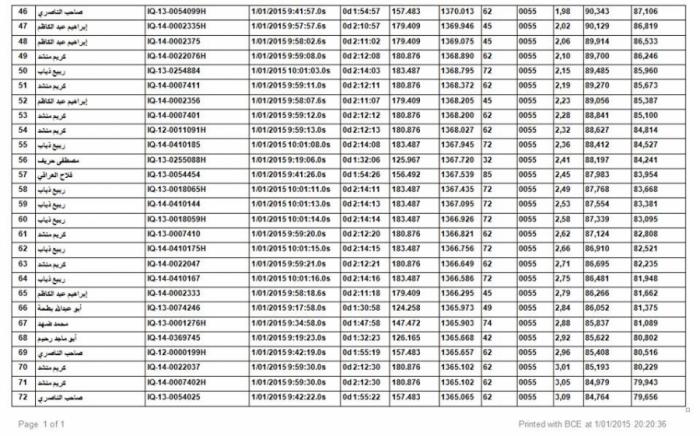
تم بعون الله السباق الثاني لجمعية العراق لسباقات الحمام الزاجل في ذي قار من جسر الديوانية






التوقيع

يقول فيثاغورث : كثرة حسادك شهادة لك على نجاحك

آخر تعديل انور الزيدي يوم 01-02-2015 في 03:54 PM.
قديم 01-02-2015, 04:20 PM رقم المشاركة : 2
معلومات العضو
نبيل الخالدي
عضو نشط
إحصائية العضو







آخر مواضيعي


نبيل الخالدي غير متواجد حالياً


افتراضي

ألف مبروك للفائزين
وحظ أوفر لباقي المتسابقين







قديم 01-03-2015, 12:32 AM رقم المشاركة : 3
معلومات العضو
فاضل كربلاء
عضو مبدع

الصورة الرمزية فاضل كربلاء

إحصائية العضو








آخر مواضيعي


فاضل كربلاء غير متواجد حالياً


افتراضي

الف مبروك للفائزين وحظ أوفر لباقي المتسابقين







قديم 01-03-2015, 10:35 PM رقم المشاركة : 4
معلومات العضو
فهد الوطري
عضو الاتحاد
افتراضي

مبروك للفائزين وحظ اوفر الى باقي المتسابقين







التوقيع


visit our web : www.q8zajel.com

موقع مزادات كويت بيبا

www.q8pipa.com

قديم 01-04-2015, 02:43 AM رقم المشاركة : 5
معلومات العضو
العبدلي
عضو متميز

الصورة الرمزية العبدلي

إحصائية العضو







آخر مواضيعي

0 مفقود طير

العبدلي غير متواجد حالياً


افتراضي

مبروك مبروك للفائزين وحظ اوفر لباقي المتسابقين







التوقيع

سبحان الله وبحمده سبحان الله العظيم

موضوع مغلق


تعليمات المشاركة
لا تستطيع إضافة مواضيع جديدة
لا تستطيع الرد على المواضيع
لا تستطيع إرفاق ملفات
لا تستطيع تعديل مشاركاتك

BB code is متاحة
كود [IMG] متاحة
كود HTML معطلة

الانتقال السريع


الساعة الآن 04:49 PM.


Powered by vBulletin® Special Version Ultimate Users, Copyright ©2000 - 2026, Jelsoft Enterprises Ltd.

Powered By SZ4h.com

جميع الحقوق محفوظة لموقع ومنتدي الاتحاد الكويتي لسباق حمام الزاجل