Links
اهلا وسهلا بكم في منتديات الاتحاد الكويتي لسباق حمام الزاجل كلمة الإدارة


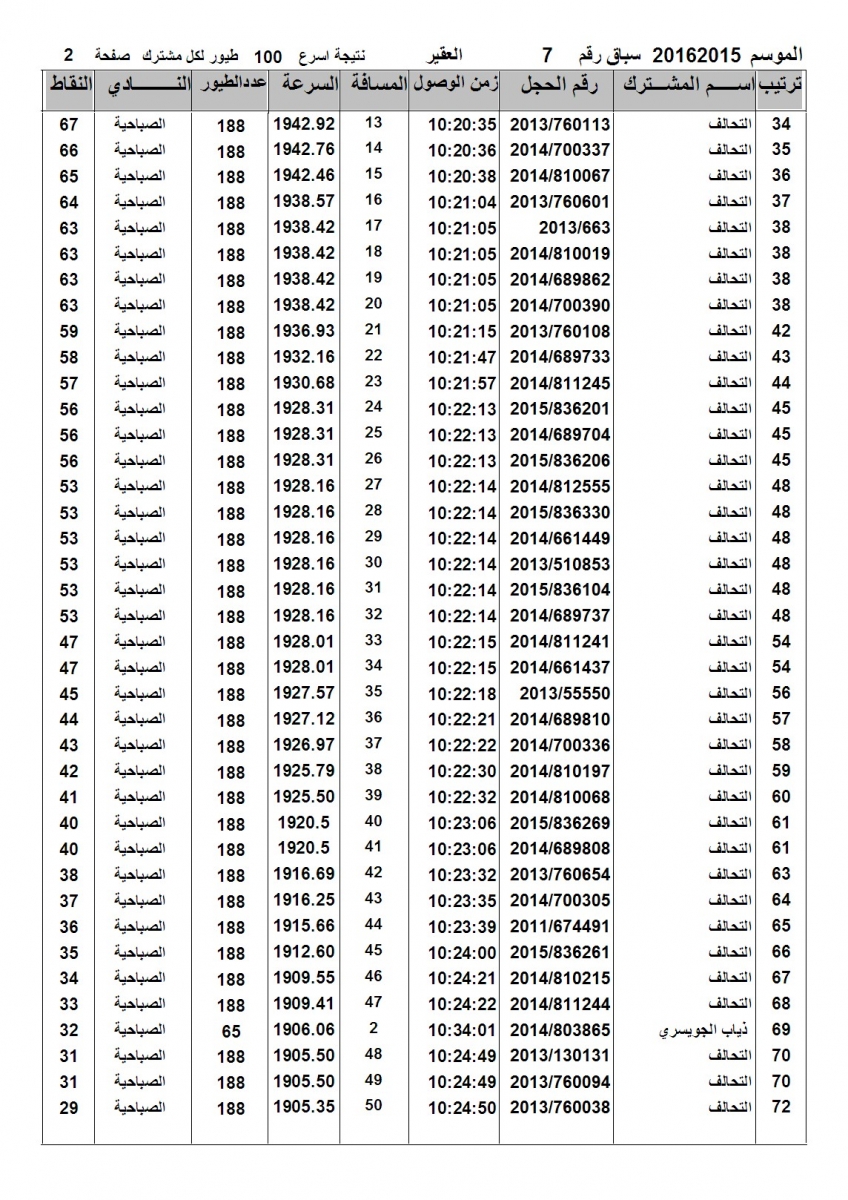
> منتديات الاتحاد الكويتي لسباق حمام الزاجل > منتدي اخبار السباقات > نتائج سباقات الاتحاد الكويتي / Race results > نتيجة السباق السابع العقير المشتركة (فنيطيس - سلوى - الصباحية - الظهر)

« آخـــر الـــمـــشـــاركــــات »
         :: نتيجة السباق السابع - الجبيل 320 كم - لنادي الوفرة غربي (آخر رد :الأتحاد الكويتي)       :: نتيجة السباق السابع - الجبيل 320 كم - لنادي الوفرة شرقي (آخر رد :الأتحاد الكويتي)       :: نتيجة السباق السابع - الجبيل 320 كم - لنادي الوفرة مشتركة ( غربي وشرقي) (آخر رد :الأتحاد الكويتي)       :: نتيجة السباق العاشر - الجبيل 320 كم - لنادي سلوى (آخر رد :الأتحاد الكويتي)       :: نتيجة السباق العاشر - الجبيل 320 كم - لنادي أم الهيمان (آخر رد :الأتحاد الكويتي)       :: نتيجة السباق العاشر - الجبيل 320 كم - لنادي الفنيطيس (آخر رد :الأتحاد الكويتي)       :: نتيجة السباق العاشر - الجبيل 320 كم - لنادي الفروانية (آخر رد :الأتحاد الكويتي)       :: نتيجة السباق العاشر - الجبيل 320 كم - لنادي العبدلي (آخر رد :الأتحاد الكويتي)       :: نتيجة السباق العاشر - الجبيل 320 كم - لنادي الصباحية (آخر رد :الأتحاد الكويتي)       :: نتيجة السباق العاشر - الجبيل 320 كم - السباقات المشتركة (آخر رد :الأتحاد الكويتي)      

موضوع مغلق
 
أدوات الموضوع إبحث في الموضوع انواع عرض الموضوع
قديم 01-09-2016, 08:43 PM رقم المشاركة : 1
معلومات العضو
الأتحاد الكويتي
الــــمـدير الــــعــــام
Hot News2 نتيجة السباق السابع العقير المشتركة (فنيطيس - سلوى - الصباحية - الظهر)

السلام عليكم ورحمة الله وبركاته
إليكم نتيجة الاتحاد للسباق الوسط مشتركة (فنيطيس - سلوى - الصباحية - الظهر)
مبروك الفوز












آخر تعديل الأتحاد الكويتي يوم 03-13-2016 في 01:49 AM.
قديم 01-10-2016, 01:59 AM رقم المشاركة : 2
معلومات العضو
فهد الوطري
عضو الاتحاد
افتراضي

الف مبرووك لكل الابطال الفائزين وحظ أوفر للبقية







التوقيع


visit our web : www.q8zajel.com

موقع مزادات كويت بيبا

www.q8pipa.com

قديم 01-10-2016, 03:30 AM رقم المشاركة : 3
معلومات العضو
العبدلي
عضو متميز

الصورة الرمزية العبدلي

إحصائية العضو







آخر مواضيعي

0 مفقود طير

العبدلي غير متواجد حالياً


افتراضي

مبروك الف مبروك للفائزين
وحظ افر لباقي المتسابقين







التوقيع

سبحان الله وبحمده سبحان الله العظيم

قديم 01-10-2016, 08:49 AM رقم المشاركة : 4
معلومات العضو
فيصل مجبل
عضو جديد
إحصائية العضو







آخر مواضيعي


فيصل مجبل غير متواجد حالياً


افتراضي

مبروك والله يوفق الجميع







التوقيع



قديم 01-10-2016, 08:21 PM رقم المشاركة : 5
معلومات العضو
فاضل كربلاء
عضو مبدع

الصورة الرمزية فاضل كربلاء

إحصائية العضو








آخر مواضيعي


فاضل كربلاء غير متواجد حالياً


افتراضي

الف مبروك للفائزين وحظ أوفر لباقي المتسابقين







قديم 01-11-2016, 02:58 AM رقم المشاركة : 6
معلومات العضو
عاشق اصلي
عضو مبدع

الصورة الرمزية عاشق اصلي

افتراضي

موفق بإذن الله ... لك مني أجمل تحية . ألف مبروك .. لقد سعدت بهذا الخبر







التوقيع

ء أخوكممممم الحاج نعيم المالكي كربلاء المقدسة مبايل 07733893343

قديم 01-13-2016, 01:19 AM رقم المشاركة : 7
معلومات العضو
تحسين ابو سامر
عضو خاص

الصورة الرمزية تحسين ابو سامر

إحصائية العضو







آخر مواضيعي

تحسين ابو سامر غير متواجد حالياً


افتراضي

مبروك الف مبروك للفائزين
وحظ افر لباقي المتسابقين







التوقيع

قديم 01-13-2016, 07:26 PM رقم المشاركة : 8
معلومات العضو
انور الزيدي
عضو هام

الصورة الرمزية انور الزيدي

افتراضي

ألف مبروك .. لقد سعدت بهذا الخبر







التوقيع

يقول فيثاغورث : كثرة حسادك شهادة لك على نجاحك

موضوع مغلق


تعليمات المشاركة
لا تستطيع إضافة مواضيع جديدة
لا تستطيع الرد على المواضيع
لا تستطيع إرفاق ملفات
لا تستطيع تعديل مشاركاتك

BB code is متاحة
كود [IMG] متاحة
كود HTML معطلة

الانتقال السريع


الساعة الآن 03:43 PM.


Powered by vBulletin® Special Version Ultimate Users, Copyright ©2000 - 2026, Jelsoft Enterprises Ltd.

Powered By SZ4h.com

جميع الحقوق محفوظة لموقع ومنتدي الاتحاد الكويتي لسباق حمام الزاجل