Links
اهلا وسهلا بكم في منتديات الاتحاد الكويتي لسباق حمام الزاجل كلمة الإدارة


> منتديات الاتحاد الكويتي لسباق حمام الزاجل > أخبار الاتحادات والاندية > اخبار هواة الحمام الزاجل في العراق > تحطيم رقم قياسي جديد لنادي السماوة المركزي لمسافة221 ك سباق الدورة الثاني

« آخـــر الـــمـــشـــاركــــات »
         :: نتيجة السباق السابع - الجبيل 320 كم - لنادي الوفرة غربي (آخر رد :الأتحاد الكويتي)       :: نتيجة السباق السابع - الجبيل 320 كم - لنادي الوفرة شرقي (آخر رد :الأتحاد الكويتي)       :: نتيجة السباق السابع - الجبيل 320 كم - لنادي الوفرة مشتركة ( غربي وشرقي) (آخر رد :الأتحاد الكويتي)       :: نتيجة السباق العاشر - الجبيل 320 كم - لنادي سلوى (آخر رد :الأتحاد الكويتي)       :: نتيجة السباق العاشر - الجبيل 320 كم - لنادي أم الهيمان (آخر رد :الأتحاد الكويتي)       :: نتيجة السباق العاشر - الجبيل 320 كم - لنادي الفنيطيس (آخر رد :الأتحاد الكويتي)       :: نتيجة السباق العاشر - الجبيل 320 كم - لنادي الفروانية (آخر رد :الأتحاد الكويتي)       :: نتيجة السباق العاشر - الجبيل 320 كم - لنادي العبدلي (آخر رد :الأتحاد الكويتي)       :: نتيجة السباق العاشر - الجبيل 320 كم - لنادي الصباحية (آخر رد :الأتحاد الكويتي)       :: نتيجة السباق العاشر - الجبيل 320 كم - السباقات المشتركة (آخر رد :الأتحاد الكويتي)      

موضوع مغلق
 
أدوات الموضوع إبحث في الموضوع انواع عرض الموضوع
قديم 02-28-2016, 09:32 PM رقم المشاركة : 1
معلومات العضو
مهند السماوي
عضو جديد

الصورة الرمزية مهند السماوي

Hot News2 تحطيم رقم قياسي جديد لنادي السماوة المركزي لمسافة221 ك سباق الدورة الثاني


بسم الله الرحمن الرحيم

السلام عليكم ورحمة الله وبركاته
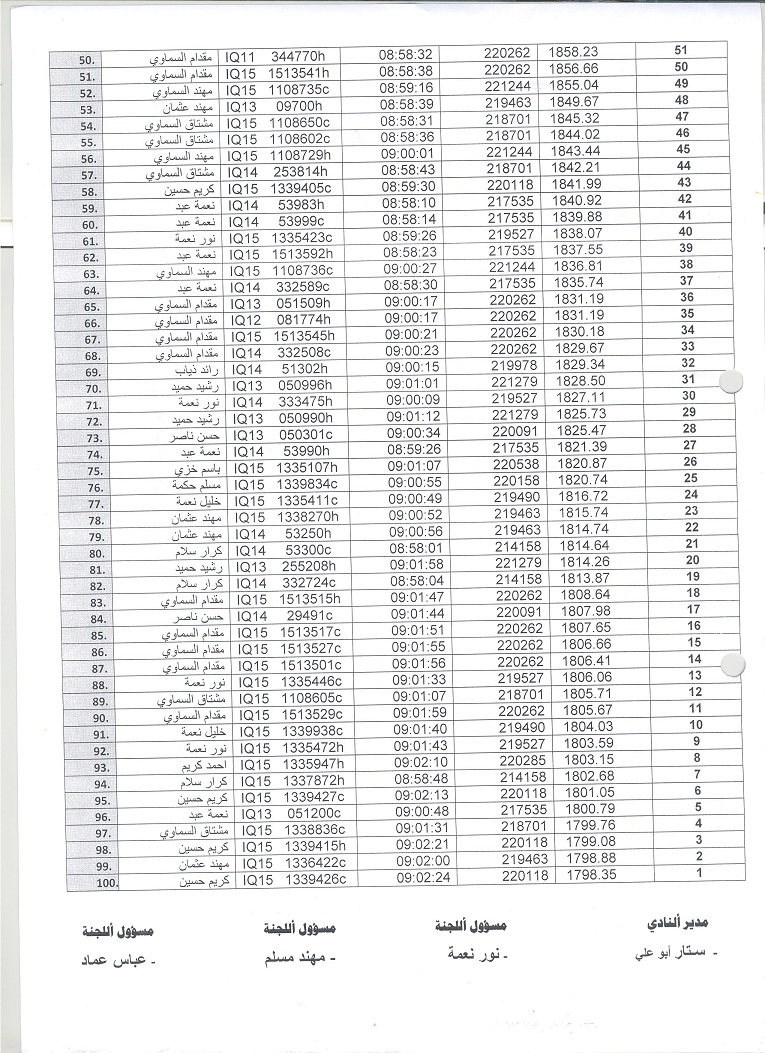
اعرض لحضراتكم نتائج سباق نادي السماوى المركزي من منطقة الدورة مسافة 221 كيلو جوي ( سباق مكرر) حيث تم تحطيم الرقم القياسي لسرعة الحمام في نادي السماوى المركزي استطاع الحمام ان يقطع 2039.55 متر بالدقيقة مايعادل تقريبا 122
كيلو بالساعه وهذا انجاز كبير لنادي
سبق وحصل النادي سرعة 107ك بالساعه في سباق منطقة سامراء مساف 355 كيلو جوي
الف الف الف مبروك للكل الفائزين
[IMG][/IMG]
[IMG][/IMG]

:_appl auso:







قديم 02-28-2016, 11:26 PM رقم المشاركة : 2
معلومات العضو
فهد الوطري
عضو الاتحاد
افتراضي

ألف مبروك للكل الفائزين







التوقيع


visit our web : www.q8zajel.com

موقع مزادات كويت بيبا

www.q8pipa.com

قديم 02-28-2016, 11:33 PM رقم المشاركة : 3
معلومات العضو
Sprinter871
عضو الاتحاد

الصورة الرمزية Sprinter871

إحصائية العضو







آخر مواضيعي

Sprinter871 غير متواجد حالياً


افتراضي

ألف مبروك للكل الفائزين







التوقيع

قديم 02-29-2016, 01:20 AM رقم المشاركة : 4
معلومات العضو
فاضل كربلاء
عضو مبدع

الصورة الرمزية فاضل كربلاء

إحصائية العضو








آخر مواضيعي


فاضل كربلاء غير متواجد حالياً


افتراضي

الف مبروك للفائزين وحظ افر لباقي المتسابقين







قديم 02-29-2016, 03:16 AM رقم المشاركة : 5
معلومات العضو
عاشق اصلي
عضو مبدع

الصورة الرمزية عاشق اصلي

افتراضي

ألف مبروك .. لقد سعدت بهذا الخبر موفقين بإذن الله ...وا لكم مني أجمل تحية .







التوقيع

ء أخوكممممم الحاج نعيم المالكي كربلاء المقدسة مبايل 07733893343

قديم 02-29-2016, 03:40 AM رقم المشاركة : 6
معلومات العضو
عدنان الكليب
الــــمـدير الــــعــــام
افتراضي

ألف مبروك .. لقد سعدت بهذا الخبر موفقين بإذن الله ...وا لكم مني أجمل تحية .







التوقيع

عدنان الكليب
رئيس الاتحاد الكويتي لسباق الحمام الزاجل
ورئيس عام منتدى الاتحاد الكويتي لسباق الحمام الزاجل
قديم 03-01-2016, 03:17 AM رقم المشاركة : 7
معلومات العضو
سيد صادق العلوي
عضو جديد

الصورة الرمزية سيد صادق العلوي

إحصائية العضو







آخر مواضيعي


سيد صادق العلوي غير متواجد حالياً


افتراضي

ألف مبروك .. لقد سعدت بهذا الخبر
موفق بإذن الله ... لك مني أجمل تحية .







قديم 05-11-2016, 07:28 PM رقم المشاركة : 8
معلومات العضو
جاسم ابو محمد
عضو مبدع
إحصائية العضو







آخر مواضيعي


جاسم ابو محمد غير متواجد حالياً


افتراضي

شـكــ وبارك الله فيك ـــرا لك ... لك مني أجمل تحية .







قديم 05-12-2016, 03:56 AM رقم المشاركة : 9
معلومات العضو
عبدالله الغريب
عضو نشط
إحصائية العضو







آخر مواضيعي

0 عندي حمامة

عبدالله الغريب غير متواجد حالياً


افتراضي

ألف مبروك .. لقد سعدت بهذا الخبر







قديم 05-14-2016, 04:50 PM رقم المشاركة : 10
معلومات العضو
ZEADALI
عضو جديد
إحصائية العضو







آخر مواضيعي


ZEADALI غير متواجد حالياً


افتراضي

الف مبروك







موضوع مغلق


تعليمات المشاركة
لا تستطيع إضافة مواضيع جديدة
لا تستطيع الرد على المواضيع
لا تستطيع إرفاق ملفات
لا تستطيع تعديل مشاركاتك

BB code is متاحة
كود [IMG] متاحة
كود HTML معطلة

الانتقال السريع


الساعة الآن 03:41 PM.


Powered by vBulletin® Special Version Ultimate Users, Copyright ©2000 - 2026, Jelsoft Enterprises Ltd.

Powered By SZ4h.com

جميع الحقوق محفوظة لموقع ومنتدي الاتحاد الكويتي لسباق حمام الزاجل