Links
اهلا وسهلا بكم في منتديات الاتحاد الكويتي لسباق حمام الزاجل كلمة الإدارة


> منتديات الاتحاد الكويتي لسباق حمام الزاجل > أخبار الاتحادات والاندية > اخبار اتحاد مملكة البحرين لسباق حمام الزاجل > نتيجه سباق ساسكو 236 كيلو/الجنوبيه

« آخـــر الـــمـــشـــاركــــات »
         :: نتيجة السباق الخامس عشر – منيفه 200 كم – لنادي الوفرة مشتركة (شرقي وغربي) (آخر رد :الأتحاد الكويتي)       :: نتيجة السباق الخامس عشر – منيفه 200 كم – لنادى الوفرة غربي (آخر رد :الأتحاد الكويتي)       :: نتيجة السباق الخامس عشر – منيفه 200 كم – لنادى الوفرة شرقي (آخر رد :الأتحاد الكويتي)       :: نتيجة السباق الخامس عشر – منيفه 200 كم – لنادى سلوى (آخر رد :الأتحاد الكويتي)       :: نتيجة السباق الخامس عشر – منيفه 200 كم – لنادى أم الهيمان (آخر رد :الأتحاد الكويتي)       :: نتيجة السباق الخامس عشر – منيفه 200 كم – لنادى الفنيطيس (آخر رد :الأتحاد الكويتي)       :: نتيجة السباق الخامس عشر – منيفه 200 كم – لنادى الفروانية (آخر رد :الأتحاد الكويتي)       :: نتيجة السباق الخامس عشر – منيفه 200 كم – لنادى العبدلي (آخر رد :الأتحاد الكويتي)       :: نتيجة السباق الخامس عشر – منيفه 200 كم – لنادى الصباحية (آخر رد :الأتحاد الكويتي)       :: نتيجة السباق الخامس عشر – منيفه 200 كم – السباقات المشتركة (آخر رد :الأتحاد الكويتي)      

موضوع مغلق
 
أدوات الموضوع إبحث في الموضوع انواع عرض الموضوع
قديم 12-19-2016, 10:37 AM رقم المشاركة : 1
معلومات العضو
محرقاوي
عضو جديد
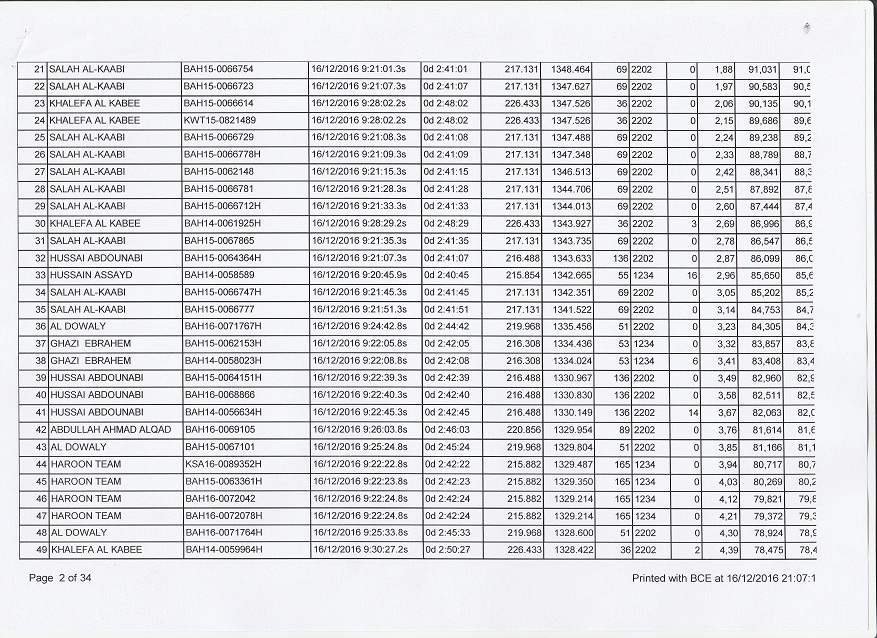
New1 نتيجه سباق ساسكو 236 كيلو/الجنوبيه

السلام عليكم ورحمة الله وبركاته





نتيجه سباق ساسكو 236 كيلو




محافظه الجنوبيه












قديم 12-19-2016, 11:19 AM رقم المشاركة : 2
معلومات العضو
فايز الدماك
عضو الاتحاد
إحصائية العضو







آخر مواضيعي

فايز الدماك غير متواجد حالياً


افتراضي

الف مبرووك الفائزين وحظ اوفر للبقيه

موفق بإذن الله ... لك مني أجمل تحية .







قديم 12-19-2016, 07:39 PM رقم المشاركة : 3
معلومات العضو
فهد الوطري
عضو الاتحاد
إحصائية العضو








آخر مواضيعي

فهد الوطري غير متواجد حالياً


افتراضي

الف مبرووك الفائزين وحظ اوفر للبقية

موفق بإذن الله ... لك مني أجمل تحية .







التوقيع


visit our web : www.q8zajel.com

موقع مزادات كويت بيبا

www.q8pipa.com

قديم 12-19-2016, 09:37 PM رقم المشاركة : 4
معلومات العضو
محمدالرويعي
عضو الاتحاد
إحصائية العضو







آخر مواضيعي

محمدالرويعي غير متواجد حالياً


افتراضي

الف مبرووك الفائزين وحظ اوفر للبقية

موفق بإذن الله ... لك مني أجمل تحية .







التوقيع




KT16-003932

فقط من اصل 10 دورات
قديم 12-21-2016, 10:41 PM رقم المشاركة : 5
معلومات العضو
عدنان الكليب
الــــمـدير الــــعــــام
افتراضي

وعليكم السلام ورحمة الله وبركاته
الف مبرووك الفائزين وحظ اوفر للبقية

موفق بإذن الله ... لك مني أجمل تحية .







التوقيع

عدنان الكليب
رئيس الاتحاد الكويتي لسباق الحمام الزاجل
ورئيس عام منتدى الاتحاد الكويتي لسباق الحمام الزاجل
موضوع مغلق


تعليمات المشاركة
لا تستطيع إضافة مواضيع جديدة
لا تستطيع الرد على المواضيع
لا تستطيع إرفاق ملفات
لا تستطيع تعديل مشاركاتك

BB code is متاحة
كود [IMG] متاحة
كود HTML معطلة

الانتقال السريع


الساعة الآن 12:53 AM.


Powered by vBulletin® Special Version Ultimate Users, Copyright ©2000 - 2026, Jelsoft Enterprises Ltd.

Powered By SZ4h.com

جميع الحقوق محفوظة لموقع ومنتدي الاتحاد الكويتي لسباق حمام الزاجل