Links
اهلا وسهلا بكم في منتديات الاتحاد الكويتي لسباق حمام الزاجل كلمة الإدارة


> منتديات الاتحاد الكويتي لسباق حمام الزاجل > أخبار الاتحادات والاندية > اخبار اتحاد مملكة البحرين لسباق حمام الزاجل > نتيجه سباق هجره الدهو 270 كيلو/المحرق

« آخـــر الـــمـــشـــاركــــات »
         :: نتيجة السباق الخامس عشر – منيفه 200 كم – لنادي الوفرة مشتركة (شرقي وغربي) (آخر رد :الأتحاد الكويتي)       :: نتيجة السباق الخامس عشر – منيفه 200 كم – لنادى الوفرة غربي (آخر رد :الأتحاد الكويتي)       :: نتيجة السباق الخامس عشر – منيفه 200 كم – لنادى الوفرة شرقي (آخر رد :الأتحاد الكويتي)       :: نتيجة السباق الخامس عشر – منيفه 200 كم – لنادى سلوى (آخر رد :الأتحاد الكويتي)       :: نتيجة السباق الخامس عشر – منيفه 200 كم – لنادى أم الهيمان (آخر رد :الأتحاد الكويتي)       :: نتيجة السباق الخامس عشر – منيفه 200 كم – لنادى الفنيطيس (آخر رد :الأتحاد الكويتي)       :: نتيجة السباق الخامس عشر – منيفه 200 كم – لنادى الفروانية (آخر رد :الأتحاد الكويتي)       :: نتيجة السباق الخامس عشر – منيفه 200 كم – لنادى العبدلي (آخر رد :الأتحاد الكويتي)       :: نتيجة السباق الخامس عشر – منيفه 200 كم – لنادى الصباحية (آخر رد :الأتحاد الكويتي)       :: نتيجة السباق الخامس عشر – منيفه 200 كم – السباقات المشتركة (آخر رد :الأتحاد الكويتي)      

موضوع مغلق
 
أدوات الموضوع إبحث في الموضوع انواع عرض الموضوع
قديم 12-27-2016, 06:26 PM رقم المشاركة : 1
معلومات العضو
محرقاوي
عضو جديد
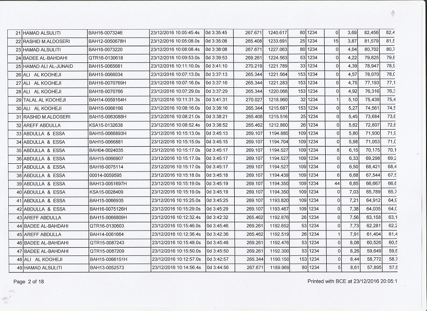
New1 نتيجه سباق هجره الدهو 270 كيلو/المحرق

السلام عليكم ورحمة الله وبركاته

نتيجه سباق هجره الدهو 270 كيلو

محافظه المحرق











قديم 12-27-2016, 07:16 PM رقم المشاركة : 2
معلومات العضو
عدنان الكليب
الــــمـدير الــــعــــام
افتراضي

وعليكم السلام ورحمة الله وبركاته
الف مبرووك للفائزين وحظ اوفر للبقية







التوقيع

عدنان الكليب
رئيس الاتحاد الكويتي لسباق الحمام الزاجل
ورئيس عام منتدى الاتحاد الكويتي لسباق الحمام الزاجل
قديم 12-28-2016, 01:48 AM رقم المشاركة : 3
معلومات العضو
فايز الدماك
عضو الاتحاد
إحصائية العضو







آخر مواضيعي

0 من له الحمام
0 صايد
0 صايد طير
0 صايد طيد
0 صايد طير

فايز الدماك غير متواجد حالياً


افتراضي



وعليكم السلام ورحمة الله وبركاته
الف مبرووك للفائزين وحظ اوفر للبقية







قديم 12-28-2016, 09:18 PM رقم المشاركة : 4
معلومات العضو
فهد الوطري
عضو الاتحاد
افتراضي

الف مبروك للفائزين وحظ أوفر للبقية







التوقيع


visit our web : www.q8zajel.com

موقع مزادات كويت بيبا

www.q8pipa.com

موضوع مغلق


تعليمات المشاركة
لا تستطيع إضافة مواضيع جديدة
لا تستطيع الرد على المواضيع
لا تستطيع إرفاق ملفات
لا تستطيع تعديل مشاركاتك

BB code is متاحة
كود [IMG] متاحة
كود HTML معطلة

الانتقال السريع


الساعة الآن 07:16 PM.


Powered by vBulletin® Special Version Ultimate Users, Copyright ©2000 - 2026, Jelsoft Enterprises Ltd.

Powered By SZ4h.com

جميع الحقوق محفوظة لموقع ومنتدي الاتحاد الكويتي لسباق حمام الزاجل