Links
اهلا وسهلا بكم في منتديات الاتحاد الكويتي لسباق حمام الزاجل كلمة الإدارة


> منتديات الاتحاد الكويتي لسباق حمام الزاجل > أخبار الاتحادات والاندية > اخبار الجمعية القطرية لهواة حمام الزاجل > نتيجة سباق 330 كلم- لموسم 2016-2017

« آخـــر الـــمـــشـــاركــــات »
         :: نتيجة السباق السابع - الجبيل 320 كم - لنادي الوفرة غربي (آخر رد :الأتحاد الكويتي)       :: نتيجة السباق السابع - الجبيل 320 كم - لنادي الوفرة شرقي (آخر رد :الأتحاد الكويتي)       :: نتيجة السباق السابع - الجبيل 320 كم - لنادي الوفرة مشتركة ( غربي وشرقي) (آخر رد :الأتحاد الكويتي)       :: نتيجة السباق العاشر - الجبيل 320 كم - لنادي سلوى (آخر رد :الأتحاد الكويتي)       :: نتيجة السباق العاشر - الجبيل 320 كم - لنادي أم الهيمان (آخر رد :الأتحاد الكويتي)       :: نتيجة السباق العاشر - الجبيل 320 كم - لنادي الفنيطيس (آخر رد :الأتحاد الكويتي)       :: نتيجة السباق العاشر - الجبيل 320 كم - لنادي الفروانية (آخر رد :الأتحاد الكويتي)       :: نتيجة السباق العاشر - الجبيل 320 كم - لنادي العبدلي (آخر رد :الأتحاد الكويتي)       :: نتيجة السباق العاشر - الجبيل 320 كم - لنادي الصباحية (آخر رد :الأتحاد الكويتي)       :: نتيجة السباق العاشر - الجبيل 320 كم - السباقات المشتركة (آخر رد :الأتحاد الكويتي)      

موضوع مغلق
 
أدوات الموضوع إبحث في الموضوع انواع عرض الموضوع
قديم 01-16-2017, 12:48 PM رقم المشاركة : 1
معلومات العضو
سفيان زواني
عضو جديد
MaBrOk نتيجة سباق 330 كلم- لموسم 2016-2017


السلام عليكم ورحمة الله
السادة متتبعي الاتحاد الكويتي لسباق الحمام الزاجل .
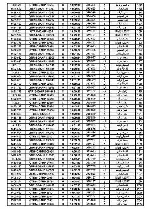
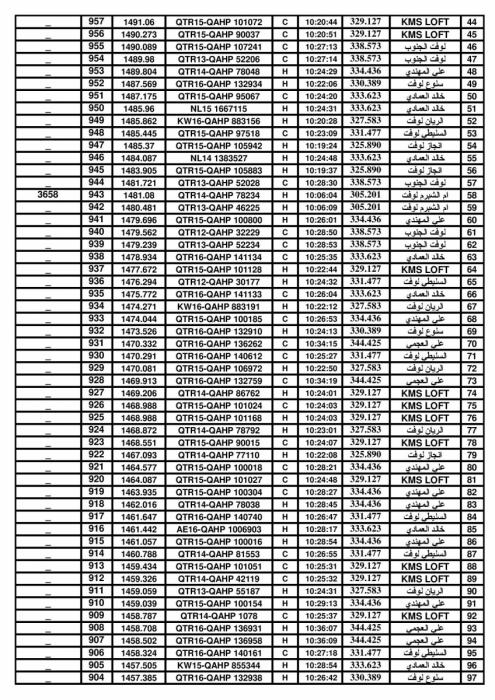
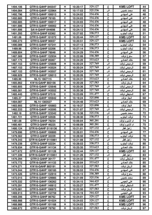
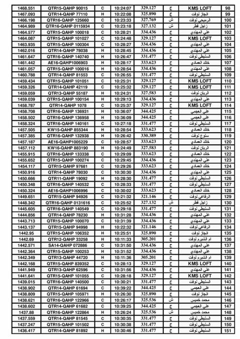
نظم المركز الشبابي للهوايات (الحمام الزاجل) خامس سباق لموسم 2016ـــ2017 سباق (330كلم) .
مر السباق في جو معتدل ورياح شمالي غربي، حيث تمكن الهاوي محمد عزت من احراز المركز الاول على اللجنة الشمالية . والهاوي خالد العمادي احرز المركز الآول على اللجنة الجنوبية وعلى العامة. مبروك للفائزين.

اللجنة الجنوبية





اللجنة الشمالية




النتيجة العامة











قديم 01-16-2017, 11:33 PM رقم المشاركة : 2
معلومات العضو
عدنان الكليب
الــــمـدير الــــعــــام
افتراضي

وعليكم السلام ورحمة الله وبركاته
شـكــ وبارك الله فيك ـــرا لك ... لك مني أجمل تحية .
موفق بإذن الله ... لك مني أجمل تحية .







التوقيع

عدنان الكليب
رئيس الاتحاد الكويتي لسباق الحمام الزاجل
ورئيس عام منتدى الاتحاد الكويتي لسباق الحمام الزاجل
قديم 01-16-2017, 11:37 PM رقم المشاركة : 3
معلومات العضو
فهد الوطري
عضو الاتحاد
إحصائية العضو








آخر مواضيعي

فهد الوطري غير متواجد حالياً


افتراضي

ألف مبروك للفائزين وحظ أوفر للبقية







التوقيع


visit our web : www.q8zajel.com

موقع مزادات كويت بيبا

www.q8pipa.com

قديم 01-17-2017, 12:28 AM رقم المشاركة : 4
معلومات العضو
فايز الدماك
عضو الاتحاد
إحصائية العضو







آخر مواضيعي

فايز الدماك غير متواجد حالياً


افتراضي

ألف مبروك للفائزين وحظ أوفر للبقية







قديم 01-25-2017, 11:40 PM رقم المشاركة : 5
معلومات العضو
العبدلي
عضو متميز

الصورة الرمزية العبدلي

إحصائية العضو







آخر مواضيعي

0 مفقود طير

العبدلي غير متواجد حالياً


افتراضي

الف مبروك للفائزين وحظ اوفر للبقية







التوقيع

سبحان الله وبحمده سبحان الله العظيم

قديم 04-03-2018, 11:47 PM رقم المشاركة : 6
معلومات العضو
جريح الزمن
عضو جديد
إحصائية العضو







آخر مواضيعي

جريح الزمن غير متواجد حالياً


افتراضي

بارك الله بكم على الموضوع الرائع







موضوع مغلق


تعليمات المشاركة
لا تستطيع إضافة مواضيع جديدة
لا تستطيع الرد على المواضيع
لا تستطيع إرفاق ملفات
لا تستطيع تعديل مشاركاتك

BB code is متاحة
كود [IMG] متاحة
كود HTML معطلة

الانتقال السريع


الساعة الآن 03:42 PM.


Powered by vBulletin® Special Version Ultimate Users, Copyright ©2000 - 2026, Jelsoft Enterprises Ltd.

Powered By SZ4h.com

جميع الحقوق محفوظة لموقع ومنتدي الاتحاد الكويتي لسباق حمام الزاجل