Links
اهلا وسهلا بكم في منتديات الاتحاد الكويتي لسباق حمام الزاجل كلمة الإدارة


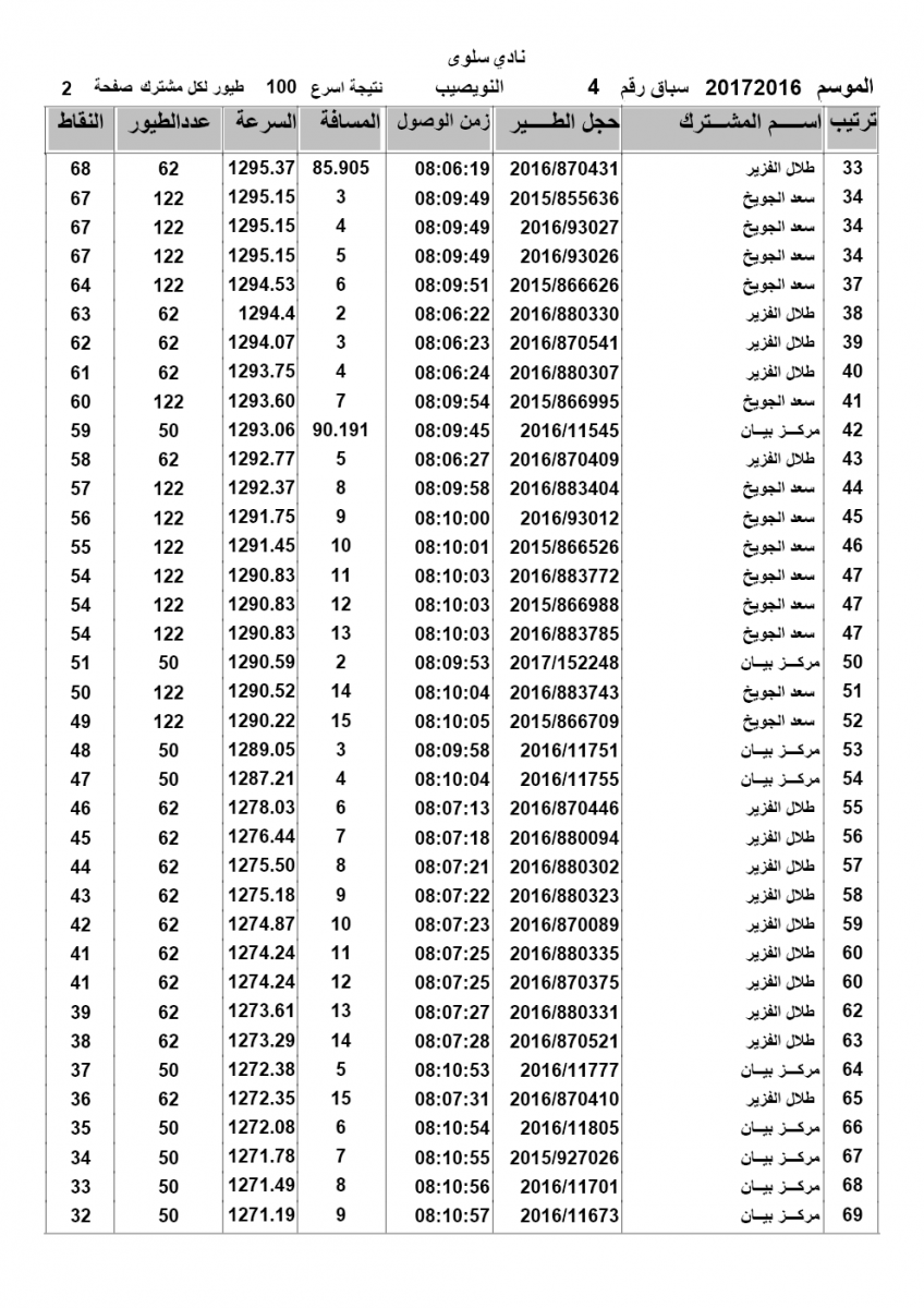
> منتديات الاتحاد الكويتي لسباق حمام الزاجل > منتدي اخبار السباقات > نتائج سباقات الاتحاد الكويتي / Race results > نتيجة السباق الرابع نويصيب 4 لنادى سلوى

« آخـــر الـــمـــشـــاركــــات »
         :: نتيجة السباق الخامس عشر – منيفه 200 كم – لنادي الوفرة مشتركة (شرقي وغربي) (آخر رد :الأتحاد الكويتي)       :: نتيجة السباق الخامس عشر – منيفه 200 كم – لنادى الوفرة غربي (آخر رد :الأتحاد الكويتي)       :: نتيجة السباق الخامس عشر – منيفه 200 كم – لنادى الوفرة شرقي (آخر رد :الأتحاد الكويتي)       :: نتيجة السباق الخامس عشر – منيفه 200 كم – لنادى سلوى (آخر رد :الأتحاد الكويتي)       :: نتيجة السباق الخامس عشر – منيفه 200 كم – لنادى أم الهيمان (آخر رد :الأتحاد الكويتي)       :: نتيجة السباق الخامس عشر – منيفه 200 كم – لنادى الفنيطيس (آخر رد :الأتحاد الكويتي)       :: نتيجة السباق الخامس عشر – منيفه 200 كم – لنادى الفروانية (آخر رد :الأتحاد الكويتي)       :: نتيجة السباق الخامس عشر – منيفه 200 كم – لنادى العبدلي (آخر رد :الأتحاد الكويتي)       :: نتيجة السباق الخامس عشر – منيفه 200 كم – لنادى الصباحية (آخر رد :الأتحاد الكويتي)       :: نتيجة السباق الخامس عشر – منيفه 200 كم – السباقات المشتركة (آخر رد :الأتحاد الكويتي)      

موضوع مغلق
 
أدوات الموضوع إبحث في الموضوع انواع عرض الموضوع
قديم 02-24-2017, 09:43 PM رقم المشاركة : 1
معلومات العضو
الأتحاد الكويتي
الــــمـدير الــــعــــام
Hot News2 نتيجة السباق الرابع نويصيب 4 لنادى سلوى

السلام عليكم ورحمة الله وبركاته
إليكم نتيجة السباق الرابع نويصيب 4 لنادى سلوى
مبروك الفوز










قديم 02-24-2017, 10:14 PM رقم المشاركة : 2
معلومات العضو
فايز الدماك
عضو الاتحاد
افتراضي

الف مبروك للفائزين وحظ اوفر للبقية







قديم 02-25-2017, 12:17 AM رقم المشاركة : 3
معلومات العضو
عاصم النجار 84
عضو جديد
إحصائية العضو







آخر مواضيعي

عاصم النجار 84 غير متواجد حالياً


افتراضي

موفق بإذن الله ... لك مني أجمل تحية .







قديم 02-25-2017, 12:18 AM رقم المشاركة : 4
معلومات العضو
العبدلي
عضو متميز

الصورة الرمزية العبدلي

إحصائية العضو







آخر مواضيعي

0 مفقود طير

العبدلي غير متواجد حالياً


افتراضي

مبروك الف مبروك للفائزين وحظ اوفر لباقي المتسابقين







التوقيع

سبحان الله وبحمده سبحان الله العظيم

قديم 02-25-2017, 02:05 AM رقم المشاركة : 5
معلومات العضو
فهد الوطري
عضو الاتحاد
افتراضي

مبروك ألف مبروك للفائزين وحظ أوفر لباقي المتسابقين







التوقيع


visit our web : www.q8zajel.com

موقع مزادات كويت بيبا

www.q8pipa.com

قديم 02-25-2017, 04:02 PM رقم المشاركة : 6
معلومات العضو
نبيل البكر
عضو خاص
إحصائية العضو







آخر مواضيعي


نبيل البكر غير متواجد حالياً


افتراضي

الف الف مبروك للجميع الفائزين وحظ اوفر للباقي







موضوع مغلق


تعليمات المشاركة
لا تستطيع إضافة مواضيع جديدة
لا تستطيع الرد على المواضيع
لا تستطيع إرفاق ملفات
لا تستطيع تعديل مشاركاتك

BB code is متاحة
كود [IMG] متاحة
كود HTML معطلة

الانتقال السريع


الساعة الآن 10:27 PM.


Powered by vBulletin® Special Version Ultimate Users, Copyright ©2000 - 2026, Jelsoft Enterprises Ltd.

Powered By SZ4h.com

جميع الحقوق محفوظة لموقع ومنتدي الاتحاد الكويتي لسباق حمام الزاجل