Links
اهلا وسهلا بكم في منتديات الاتحاد الكويتي لسباق حمام الزاجل كلمة الإدارة


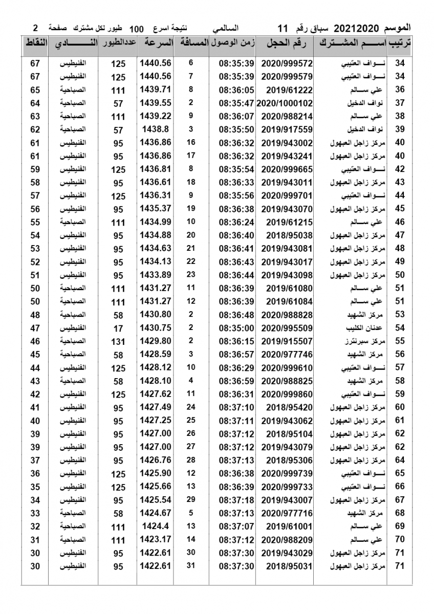
> منتديات الاتحاد الكويتي لسباق حمام الزاجل > منتدي اخبار السباقات > نتائج سباقات الاتحاد الكويتي / Race results > نتيجة السباق الحادي عشر - السالمي - المشتركة للأندية الصباحية والفنيطيس

« آخـــر الـــمـــشـــاركــــات »
         :: نتيجة السباق الخامس عشر – منيفه 200 كم – لنادي الوفرة مشتركة (شرقي وغربي) (آخر رد :الأتحاد الكويتي)       :: نتيجة السباق الخامس عشر – منيفه 200 كم – لنادى الوفرة غربي (آخر رد :الأتحاد الكويتي)       :: نتيجة السباق الخامس عشر – منيفه 200 كم – لنادى الوفرة شرقي (آخر رد :الأتحاد الكويتي)       :: نتيجة السباق الخامس عشر – منيفه 200 كم – لنادى سلوى (آخر رد :الأتحاد الكويتي)       :: نتيجة السباق الخامس عشر – منيفه 200 كم – لنادى أم الهيمان (آخر رد :الأتحاد الكويتي)       :: نتيجة السباق الخامس عشر – منيفه 200 كم – لنادى الفنيطيس (آخر رد :الأتحاد الكويتي)       :: نتيجة السباق الخامس عشر – منيفه 200 كم – لنادى الفروانية (آخر رد :الأتحاد الكويتي)       :: نتيجة السباق الخامس عشر – منيفه 200 كم – لنادى العبدلي (آخر رد :الأتحاد الكويتي)       :: نتيجة السباق الخامس عشر – منيفه 200 كم – لنادى الصباحية (آخر رد :الأتحاد الكويتي)       :: نتيجة السباق الخامس عشر – منيفه 200 كم – السباقات المشتركة (آخر رد :الأتحاد الكويتي)      

 
 
أدوات الموضوع إبحث في الموضوع انواع عرض الموضوع
Prev المشاركة السابقة   المشاركة التالية Next
قديم 02-13-2021, 06:45 PM رقم المشاركة : 1
معلومات العضو
الأتحاد الكويتي
الــــمـدير الــــعــــام
Hot News2 نتيجة السباق الحادي عشر - السالمي - المشتركة للأندية الصباحية والفنيطيس

السلام عليكم ورحمة الله وبركاته

إليكم نتيجة السباق الحادي عشر - السالمي

المشتركة للأندية ( الصباحية والفنيطيس)
مبروك الفوز












 


تعليمات المشاركة
لا تستطيع إضافة مواضيع جديدة
لا تستطيع الرد على المواضيع
لا تستطيع إرفاق ملفات
لا تستطيع تعديل مشاركاتك

BB code is متاحة
كود [IMG] متاحة
كود HTML معطلة

الانتقال السريع


الساعة الآن 10:50 PM.


Powered by vBulletin® Special Version Ultimate Users, Copyright ©2000 - 2026, Jelsoft Enterprises Ltd.

Powered By SZ4h.com

جميع الحقوق محفوظة لموقع ومنتدي الاتحاد الكويتي لسباق حمام الزاجل