Links
اهلا وسهلا بكم في منتديات الاتحاد الكويتي لسباق حمام الزاجل كلمة الإدارة


> منتديات الاتحاد الكويتي لسباق حمام الزاجل > منتدي اخبار السباقات > نتائج سباقات الاتحاد الكويتي / Race results > نتيجة الاتحاد 10 السباق العاشر موسم 2009/2010

« آخـــر الـــمـــشـــاركــــات »
         :: نتيجة السباق الخامس عشر – منيفه 200 كم – لنادي الوفرة مشتركة (شرقي وغربي) (آخر رد :الأتحاد الكويتي)       :: نتيجة السباق الخامس عشر – منيفه 200 كم – لنادى الوفرة غربي (آخر رد :الأتحاد الكويتي)       :: نتيجة السباق الخامس عشر – منيفه 200 كم – لنادى الوفرة شرقي (آخر رد :الأتحاد الكويتي)       :: نتيجة السباق الخامس عشر – منيفه 200 كم – لنادى سلوى (آخر رد :الأتحاد الكويتي)       :: نتيجة السباق الخامس عشر – منيفه 200 كم – لنادى أم الهيمان (آخر رد :الأتحاد الكويتي)       :: نتيجة السباق الخامس عشر – منيفه 200 كم – لنادى الفنيطيس (آخر رد :الأتحاد الكويتي)       :: نتيجة السباق الخامس عشر – منيفه 200 كم – لنادى الفروانية (آخر رد :الأتحاد الكويتي)       :: نتيجة السباق الخامس عشر – منيفه 200 كم – لنادى العبدلي (آخر رد :الأتحاد الكويتي)       :: نتيجة السباق الخامس عشر – منيفه 200 كم – لنادى الصباحية (آخر رد :الأتحاد الكويتي)       :: نتيجة السباق الخامس عشر – منيفه 200 كم – السباقات المشتركة (آخر رد :الأتحاد الكويتي)      

موضوع مغلق
 
أدوات الموضوع إبحث في الموضوع انواع عرض الموضوع
قديم 02-07-2010, 01:44 PM رقم المشاركة : 1
معلومات العضو
أبو عصام
مدير

الصورة الرمزية أبو عصام

Best نتيجة الاتحاد 10 السباق العاشر موسم 2009/2010


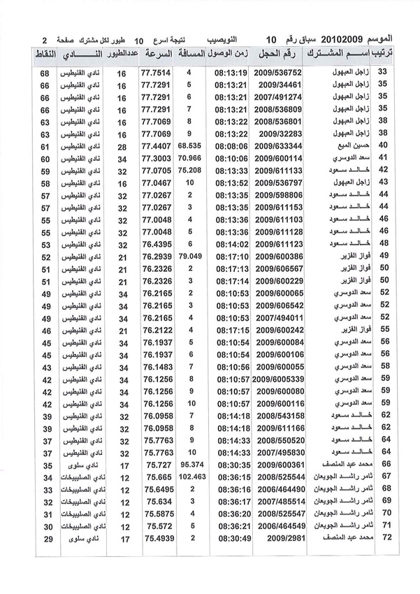
السادة أعضاء المنتدى الكرام تحية حب ومودة إليكم نتيجة الاتحاد الكويتي لسباق حمام الزاجل السباق العاشر موسم 2009/2010



وإليكم نتيجة أفضل 10 طيور لكل متسابق

وإليكم نتيجة التفوق العام

مع تمنياتي للجميع بالتوفيق بإذن الله






التوقيع






أبو عصام

قال تعالى {{ يَا أَيُّهَا الَّذِينَ آمَنُوا إِنْ جَاءَكُمْ فَاسِقٌ بِنَبَإٍ فَتَبَيَّنُوا أَنْ تُصِيبُوا قَوْمًا بِجَهَالَةٍ فَتُصْبِحُوا عَلَى مَا فَعَلْتُمْ نَدِمِينَ }}صدق الله العظيم
مع تحيات إدارة منتديات الإتحاد الكويتي لسباق الحمام الزاجل

قديم 02-07-2010, 02:51 PM رقم المشاركة : 2
معلومات العضو
عادل المطيري
عضو الاتحاد

الصورة الرمزية عادل المطيري

إحصائية العضو







آخر مواضيعي

عادل المطيري غير متواجد حالياً


W6w200504121328566a8628a6b1

السلام عليكم ورحمة الله وبركاته

مشكور يابوعصام على نقل نتيجة الأتحاد الكويت ومبروك لجميع الفائزين

موفق بإذن الله ... لك مني أجمل تحية .






التوقيع

آخر تعديل عادل المطيري يوم 02-07-2010 في 06:43 PM.
قديم 02-07-2010, 02:51 PM رقم المشاركة : 3
معلومات العضو
أبوفيصل
زائر
إحصائية العضو






آخر مواضيعي


افتراضي

مبروك للفايزين

موفق بإذن الله ... لك مني أجمل تحية







قديم 02-07-2010, 03:32 PM رقم المشاركة : 4
معلومات العضو
Thamer Rashed
عضو هام
إحصائية العضو








آخر مواضيعي

Thamer Rashed غير متواجد حالياً


افتراضي

ألف مبروك الفوز محمد الفزير ومبروك لجميع المتسابقين







التوقيع

لا اله الا الله محمد رسول الله

قديم 02-07-2010, 04:19 PM رقم المشاركة : 5
معلومات العضو
احمد الهاملي
عضو خاص
افتراضي


ألف مبروك للفزير المراكز الأولى
ومبروك لمركز الزاجل
ومبروك مركز مشرف
ومبروك لجميع الفائزين






التوقيع

إنى نظرت إلى الخلق يعادى بعضهم بعضا ويبغى بعضهم على بعض ويقاتل بعضهم بعضا...ونظرت إلى قول الله تعالى (إن الشيطان لكم عدو فاتخذوه عدوا) فتركت عداوة الخلق وتفرغت لعداوة الشيطان وحده.
قديم 02-07-2010, 05:12 PM رقم المشاركة : 6
معلومات العضو
Ashkanani
عضو الاتحاد

الصورة الرمزية Ashkanani

إحصائية العضو








آخر مواضيعي

Ashkanani غير متواجد حالياً


افتراضي

السلام عليكم ورحمة الله وبركاته
مبروك للفائزين ومعوضين خير انشاء الله للي ماحصل لهم نصيب
موفق بإذن الله ... لك مني أجمل تحية .






قديم 02-07-2010, 06:58 PM رقم المشاركة : 7
معلومات العضو
هاشم^زنكي
عضو الاتحاد

الصورة الرمزية هاشم^زنكي

إحصائية العضو







آخر مواضيعي

هاشم^زنكي غير متواجد حالياً


افتراضي

الف مبروك
الف مبروك
للجمـــــــــــــــــــــ ـــيع







قديم 02-07-2010, 07:10 PM رقم المشاركة : 8
معلومات العضو
ahmad saad
مـــدير
افتراضي


السلام عليكم ورحمة الله وبركاته
ألف مبروك محمد الفزير المراكز الاولى ومبروك مركز الزاجل
حظ اوفر لبقيه المتسابقين
شـكــ وبارك الله فيك ـــرا لك ... لك مني أجمل تحية .






التوقيع

أحمد سعد الجويسرى ( مركز مشرف )

قديم 02-07-2010, 09:56 PM رقم المشاركة : 9
معلومات العضو
محمد المهندس
عضو خاص

الصورة الرمزية محمد المهندس

افتراضي

السلام عليكم ورحمة الله وبركاته
ألف مبروك محمد الفزير المراكز الاولى ومبروك مركز الزاجل
حظ اوفر لبقيه المتسابقين
شـكــ وبارك الله فيك ـــرا لك ابو عصام على اعلان النتيجه






التوقيع

قديم 02-07-2010, 10:09 PM رقم المشاركة : 10
معلومات العضو
عتيج_المسيان
مدير

الصورة الرمزية عتيج_المسيان

إحصائية العضو







آخر مواضيعي

عتيج_المسيان غير متواجد حالياً


افتراضي

السلام عليكم ورحمة الله وبركاته

ألف مبروك للفائزين وحظ اوفر لباقي المتسابقين

موفقين بإذن الله ... لكم مني أجمل تحية .






التوقيع

الميـــــــــــــــراج __ The Mirage Loft

www.kwtzajelunion.com

تابعو نتائج السباقات واخبار الاتحاد على التويتر

Kwtzajelunion@

قال رسول الله صلى الله عليه وسلم : لا تحاسدوا ، ولا تناجشوا ، ولا تباغضوا ، ولا تدابروا
ولا يبع بعضكم على بيع بعض ، وكونوا عباد الله إخوانا ، المسلم أخو المسلم ، لا يظلمه ، ولا يخذله ، ولا يكذبه ، ولا يحقره

ـــــــــــــــــــــــ


ستـــــوك الميـــــراج


الـــــزوج الـــــذهبي

دك ميـــــرمـــــن

سواريز x ديين




موضوع مغلق


تعليمات المشاركة
لا تستطيع إضافة مواضيع جديدة
لا تستطيع الرد على المواضيع
لا تستطيع إرفاق ملفات
لا تستطيع تعديل مشاركاتك

BB code is متاحة
كود [IMG] متاحة
كود HTML معطلة

الانتقال السريع


الساعة الآن 10:48 PM.


Powered by vBulletin® Special Version Ultimate Users, Copyright ©2000 - 2026, Jelsoft Enterprises Ltd.

Powered By SZ4h.com

جميع الحقوق محفوظة لموقع ومنتدي الاتحاد الكويتي لسباق حمام الزاجل