Links
اهلا وسهلا بكم في منتديات الاتحاد الكويتي لسباق حمام الزاجل كلمة الإدارة


> منتديات الاتحاد الكويتي لسباق حمام الزاجل > أخبار الاتحادات والاندية > اخبار نادي دبي لسباق حمام الزاجل > نتيجة السباق العاشر حقل الرميثه150كم

« آخـــر الـــمـــشـــاركــــات »
         :: نتيجة السباق الخامس عشر – منيفه 200 كم – لنادي الوفرة مشتركة (شرقي وغربي) (آخر رد :الأتحاد الكويتي)       :: نتيجة السباق الخامس عشر – منيفه 200 كم – لنادى الوفرة غربي (آخر رد :الأتحاد الكويتي)       :: نتيجة السباق الخامس عشر – منيفه 200 كم – لنادى الوفرة شرقي (آخر رد :الأتحاد الكويتي)       :: نتيجة السباق الخامس عشر – منيفه 200 كم – لنادى سلوى (آخر رد :الأتحاد الكويتي)       :: نتيجة السباق الخامس عشر – منيفه 200 كم – لنادى أم الهيمان (آخر رد :الأتحاد الكويتي)       :: نتيجة السباق الخامس عشر – منيفه 200 كم – لنادى الفنيطيس (آخر رد :الأتحاد الكويتي)       :: نتيجة السباق الخامس عشر – منيفه 200 كم – لنادى الفروانية (آخر رد :الأتحاد الكويتي)       :: نتيجة السباق الخامس عشر – منيفه 200 كم – لنادى العبدلي (آخر رد :الأتحاد الكويتي)       :: نتيجة السباق الخامس عشر – منيفه 200 كم – لنادى الصباحية (آخر رد :الأتحاد الكويتي)       :: نتيجة السباق الخامس عشر – منيفه 200 كم – السباقات المشتركة (آخر رد :الأتحاد الكويتي)      

موضوع مغلق
 
أدوات الموضوع إبحث في الموضوع انواع عرض الموضوع
قديم 02-12-2010, 11:23 PM رقم المشاركة : 1
معلومات العضو
الموج
عضو نشط

الصورة الرمزية الموج

افتراضي نتيجة السباق العاشر حقل الرميثه150كم

بسم الله الرحمن الرحيم

السلام عليكم ورحمة الله وبركاته


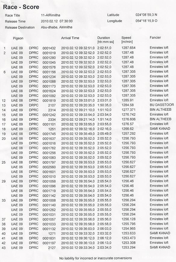
نتيجة السباق العاشر حقل الرميثه 150كم المقام يوم الجمعه الموافق 12/02/2010م مبروك للأخ حسن حبيب

المركز الأول وحظ اوفر لباقي المتسابقين

أسماء المتسابقين وعدد الطيور

الامارات لوفت 105 طير
بودستور 12 طير
الموج 17طير
ابن الذيب 15 طير
سامي كناد 17طير
مجموع عدد الحمام 166 طير









قديم 02-12-2010, 11:57 PM رقم المشاركة : 2
معلومات العضو
عتيج_المسيان
مدير

الصورة الرمزية عتيج_المسيان

إحصائية العضو







آخر مواضيعي

عتيج_المسيان غير متواجد حالياً


افتراضي

السلام عليكم ورحمة الله وبركاته

ألف مبروك للفائزين وحظ اوفر لباقي المتسابقين

موفق بإذن الله ... لك مني أجمل تحية .






التوقيع

الميـــــــــــــــراج __ The Mirage Loft

www.kwtzajelunion.com

تابعو نتائج السباقات واخبار الاتحاد على التويتر

Kwtzajelunion@

قال رسول الله صلى الله عليه وسلم : لا تحاسدوا ، ولا تناجشوا ، ولا تباغضوا ، ولا تدابروا
ولا يبع بعضكم على بيع بعض ، وكونوا عباد الله إخوانا ، المسلم أخو المسلم ، لا يظلمه ، ولا يخذله ، ولا يكذبه ، ولا يحقره

ـــــــــــــــــــــــ


ستـــــوك الميـــــراج


الـــــزوج الـــــذهبي

دك ميـــــرمـــــن

سواريز x ديين




قديم 02-13-2010, 01:24 PM رقم المشاركة : 3
معلومات العضو
محمد الفزير
عضو الاتحاد

الصورة الرمزية محمد الفزير

إحصائية العضو







آخر مواضيعي

محمد الفزير غير متواجد حالياً


افتراضي

مبروك الفوز حسن حبيب وحظ اوفر للبقيه اتمنى التوفيق للجميع
شد حيلك بودستور







التوقيع

قديم 02-13-2010, 01:32 PM رقم المشاركة : 4
معلومات العضو
علي الميع
المدير العام
افتراضي

مبروك الفوز حسن حبيب وحظ اوفر للبقيه اتمنى التوفيق للجميع







قديم 02-13-2010, 03:25 PM رقم المشاركة : 5
معلومات العضو
بدر السنافي
عضو الاتحاد
افتراضي

السلام عليكم ورحمة الله وبركاته

ألف مبروك للفائزين وحظ اوفر لباقي المتسابقين

موفق بإذن الله ... لك مني أجمل تحية .






قديم 02-13-2010, 03:45 PM رقم المشاركة : 6
معلومات العضو
ahmad saad
مـــدير
افتراضي


السلام عليكم ورحمة الله وبركاته
مبروك الفوز الامارات لوفت وبودستور وابن الذيب
وحظ اوفر للبقيه بالسباقات القادمه
شـكــ وبارك الله فيك ـــرا لك ... لك مني أجمل تحية .






التوقيع

أحمد سعد الجويسرى ( مركز مشرف )

قديم 02-13-2010, 04:02 PM رقم المشاركة : 7
معلومات العضو
محمد المهندس
عضو خاص

الصورة الرمزية محمد المهندس

إحصائية العضو








آخر مواضيعي

محمد المهندس غير متواجد حالياً


افتراضي

مبروك الفوز الامارات لوفت وبودستور وابن الذيب
وحظ اوفر للبقيه بالسباقات القادمه
شـكــ وبارك الله فيك ـــرا لك ... لك مني أجمل تحية .






التوقيع

قديم 02-13-2010, 04:23 PM رقم المشاركة : 8
معلومات العضو
الاهلي
عضو جديد
إحصائية العضو







آخر مواضيعي


الاهلي غير متواجد حالياً


افتراضي

ألف مبروك للفائزين وحظ اوفر لباقي المتسابقين

موفق بإذن الله ... لك مني أجمل تحية .







قديم 02-13-2010, 09:17 PM رقم المشاركة : 9
معلومات العضو
captain
عضو مبدع

الصورة الرمزية captain

افتراضي

مـــــاشــــاء الــلــه

مبروك الفوز للبطل حسن حبيب والبطل بودستور والبطل الموج الأزرق والبطل أبن الــــذيـــــب

أختلاف النتائج لكل سباق دليل على قوة المنافسة وشراسة الزاجل لدي المتسابقين .


الله يوفقكم جميعآ







قديم 02-14-2010, 10:13 AM رقم المشاركة : 10
معلومات العضو
حسين عبدالله
عضو مشارك
إحصائية العضو







آخر مواضيعي


حسين عبدالله غير متواجد حالياً


افتراضي

ألف مبروك للفائزين وحظ اوفر لباقي المتسابقين
شـكــ وبارك الله فيك ـــرا لك ... لك مني أجمل تحية .







موضوع مغلق


تعليمات المشاركة
لا تستطيع إضافة مواضيع جديدة
لا تستطيع الرد على المواضيع
لا تستطيع إرفاق ملفات
لا تستطيع تعديل مشاركاتك

BB code is متاحة
كود [IMG] متاحة
كود HTML معطلة

الانتقال السريع


الساعة الآن 06:15 AM.


Powered by vBulletin® Special Version Ultimate Users, Copyright ©2000 - 2026, Jelsoft Enterprises Ltd.

Powered By SZ4h.com

جميع الحقوق محفوظة لموقع ومنتدي الاتحاد الكويتي لسباق حمام الزاجل