Links
اهلا وسهلا بكم في منتديات الاتحاد الكويتي لسباق حمام الزاجل كلمة الإدارة


> منتديات الاتحاد الكويتي لسباق حمام الزاجل > أخبار الاتحادات والاندية > اخبار هواة الحمام الزاجل بجمهورية مصر العربية > نتيجة سباق الحمام (200ك) (جمعية تأصيل وتنمية حمام الزاجل )

« آخـــر الـــمـــشـــاركــــات »
         :: نتيجة السباق الخامس عشر – منيفه 200 كم – لنادي الوفرة مشتركة (شرقي وغربي) (آخر رد :الأتحاد الكويتي)       :: نتيجة السباق الخامس عشر – منيفه 200 كم – لنادى الوفرة غربي (آخر رد :الأتحاد الكويتي)       :: نتيجة السباق الخامس عشر – منيفه 200 كم – لنادى الوفرة شرقي (آخر رد :الأتحاد الكويتي)       :: نتيجة السباق الخامس عشر – منيفه 200 كم – لنادى سلوى (آخر رد :الأتحاد الكويتي)       :: نتيجة السباق الخامس عشر – منيفه 200 كم – لنادى أم الهيمان (آخر رد :الأتحاد الكويتي)       :: نتيجة السباق الخامس عشر – منيفه 200 كم – لنادى الفنيطيس (آخر رد :الأتحاد الكويتي)       :: نتيجة السباق الخامس عشر – منيفه 200 كم – لنادى الفروانية (آخر رد :الأتحاد الكويتي)       :: نتيجة السباق الخامس عشر – منيفه 200 كم – لنادى العبدلي (آخر رد :الأتحاد الكويتي)       :: نتيجة السباق الخامس عشر – منيفه 200 كم – لنادى الصباحية (آخر رد :الأتحاد الكويتي)       :: نتيجة السباق الخامس عشر – منيفه 200 كم – السباقات المشتركة (آخر رد :الأتحاد الكويتي)      

إضافة رد
 
أدوات الموضوع إبحث في الموضوع انواع عرض الموضوع
قديم 04-03-2010, 01:30 PM رقم المشاركة : 1
معلومات العضو
أبو عصام
مدير

الصورة الرمزية أبو عصام

Best نتيجة سباق الحمام (200ك) (جمعية تأصيل وتنمية حمام الزاجل )


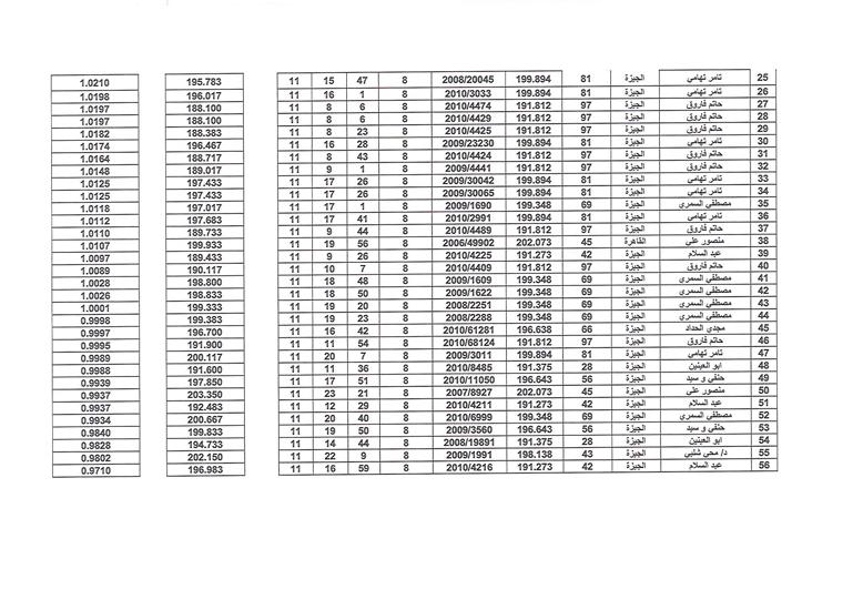
السادة أعضاء المنتدى الكرام تحية حب ومودة إليكم نتيجة جمعية تأصيل وتنمية حمام الزاجل في جمهورية مصر العربية السباق الأول موسم 2010/2011 وكان يوم أمس بتاريخ 2/4/2010 متمنين للجميع دوام التوفيق بموسم طيب بإذن الله .
وننتهز هذه المناسبة السعيدة والنبارك للأخوه في جمهورية مصر العربية على إنشاء جمعية تأصيل وتنمية حمام الزاجل وإنشاء الله تكون فاتحة خير ورجوع الإتحادة المصري مره أخرى مع تمنياتنا للجميع بالخير بإذن الله


الف مبروك للفائزين وحظ أوفر لباقي المتسابقين






التوقيع






أبو عصام

قال تعالى {{ يَا أَيُّهَا الَّذِينَ آمَنُوا إِنْ جَاءَكُمْ فَاسِقٌ بِنَبَإٍ فَتَبَيَّنُوا أَنْ تُصِيبُوا قَوْمًا بِجَهَالَةٍ فَتُصْبِحُوا عَلَى مَا فَعَلْتُمْ نَدِمِينَ }}صدق الله العظيم
مع تحيات إدارة منتديات الإتحاد الكويتي لسباق الحمام الزاجل

آخر تعديل أبو عصام يوم 04-03-2010 في 01:39 PM.
رد مع اقتباس
قديم 04-03-2010, 02:10 PM رقم المشاركة : 2
معلومات العضو
Fayez Q8
عضو الاتحاد

الصورة الرمزية Fayez Q8

افتراضي

الف مبروك للفائزين
وحظ أوفر لباقي المتسابقين
موفق بإذن الله






التوقيع

.








.
.
رد مع اقتباس
قديم 04-03-2010, 02:51 PM رقم المشاركة : 3
معلومات العضو
بدر السنافي
عضو الاتحاد
افتراضي

الف مبروك للفائزين
وحظ أوفر لباقي المتسابقين







رد مع اقتباس
قديم 04-03-2010, 02:53 PM رقم المشاركة : 4
معلومات العضو
محمد الفزير
عضو الاتحاد

الصورة الرمزية محمد الفزير

إحصائية العضو







آخر مواضيعي

محمد الفزير غير متواجد حالياً


افتراضي

مشاء الله اه الجمال ده يابو عصام ربنا يبارك له بحلاله يابطل ياكبير
موفق بإذن الله ... لك مني أجمل تحية .







التوقيع

رد مع اقتباس
قديم 04-03-2010, 03:14 PM رقم المشاركة : 5
معلومات العضو
علي الميع
المدير العام
افتراضي

الف مبروك للفائزين
وحظ أوفر لباقي المتسابقين
موفق بإذن الله






رد مع اقتباس
قديم 04-03-2010, 03:52 PM رقم المشاركة : 6
معلومات العضو
حسين عبدالله
عضو مشارك
إحصائية العضو







آخر مواضيعي


حسين عبدالله غير متواجد حالياً


افتراضي

الف مبروك للفائزين
وحظ أوفر لباقي
موفق بإذن الله ... لك مني أجمل تحية .







رد مع اقتباس
قديم 04-03-2010, 04:44 PM رقم المشاركة : 7
معلومات العضو
captain
عضو مبدع

الصورة الرمزية captain

افتراضي

بسم الله الرحمن الرحيم

وعليكم السلام ورحمة الله وبركاته

الحمدلله والصلاة والسلام على رسول الله وعلى آله وصحبه أجمعين

ألف مبروك لتامر تهامي المركز الأول

ألف مبروك لحاتم فاروق المركز الثاني

ألف مبروك لعبد السلام المركز الثالث

كما أتمنا التوفيق للأبطال اللي ماحالفهم الحظ أن يشدو الحيل






رد مع اقتباس
قديم 04-03-2010, 07:03 PM رقم المشاركة : 8
معلومات العضو
ahmad saad
مـــدير
إحصائية العضو







آخر مواضيعي

ahmad saad غير متواجد حالياً


افتراضي


السلام عليكم ورحمة الله وبركاته
ألف مبروك لتامر تهامى وحاتم فاروق وعبدالسلام
حظ اوفر للبقيه بالسباق القادم
شـكــ وبارك الله فيك ـــرا لك ... لك مني أجمل تحية .






التوقيع

أحمد سعد الجويسرى ( مركز مشرف )

رد مع اقتباس
قديم 04-03-2010, 09:11 PM رقم المشاركة : 9
معلومات العضو
الجمل
عضو الاتحاد
إحصائية العضو








آخر مواضيعي


الجمل غير متواجد حالياً


افتراضي

الف مبروك الاخ تامر تهامي المركز الاول
والف مبروك الاخ حاتم فاروق المركز الثاني
وبالتوفيق لباقي المتسابقين انشاء الله
أخوكم حمزه الجمل
(المنوفية)






رد مع اقتباس
قديم 04-03-2010, 09:16 PM رقم المشاركة : 10
معلومات العضو
جابر النمر
عضو
افتراضي

السلام عليكم ورحمة الله وبركاته

الف الف الف مبروك تستاهلون يا ابطال

موفق بإذن الله ... لك مني أجمل تحية .







رد مع اقتباس
إضافة رد


تعليمات المشاركة
لا تستطيع إضافة مواضيع جديدة
لا تستطيع الرد على المواضيع
لا تستطيع إرفاق ملفات
لا تستطيع تعديل مشاركاتك

BB code is متاحة
كود [IMG] متاحة
كود HTML معطلة

الانتقال السريع


الساعة الآن 06:39 AM.


Powered by vBulletin® Special Version Ultimate Users, Copyright ©2000 - 2026, Jelsoft Enterprises Ltd.

Powered By SZ4h.com

جميع الحقوق محفوظة لموقع ومنتدي الاتحاد الكويتي لسباق حمام الزاجل