Links
اهلا وسهلا بكم في منتديات الاتحاد الكويتي لسباق حمام الزاجل كلمة الإدارة


> منتديات الاتحاد الكويتي لسباق حمام الزاجل > أخبار الاتحادات والاندية > اخبار هواة الحمام الزاجل بجمهورية مصر العربية > نتيجة سباق العلمين (جمعية تأصيل وتنمية حمام الزاجل )

« آخـــر الـــمـــشـــاركــــات »
         :: نتيجة السباق الخامس عشر – منيفه 200 كم – لنادي الوفرة مشتركة (شرقي وغربي) (آخر رد :الأتحاد الكويتي)       :: نتيجة السباق الخامس عشر – منيفه 200 كم – لنادى الوفرة غربي (آخر رد :الأتحاد الكويتي)       :: نتيجة السباق الخامس عشر – منيفه 200 كم – لنادى الوفرة شرقي (آخر رد :الأتحاد الكويتي)       :: نتيجة السباق الخامس عشر – منيفه 200 كم – لنادى سلوى (آخر رد :الأتحاد الكويتي)       :: نتيجة السباق الخامس عشر – منيفه 200 كم – لنادى أم الهيمان (آخر رد :الأتحاد الكويتي)       :: نتيجة السباق الخامس عشر – منيفه 200 كم – لنادى الفنيطيس (آخر رد :الأتحاد الكويتي)       :: نتيجة السباق الخامس عشر – منيفه 200 كم – لنادى الفروانية (آخر رد :الأتحاد الكويتي)       :: نتيجة السباق الخامس عشر – منيفه 200 كم – لنادى العبدلي (آخر رد :الأتحاد الكويتي)       :: نتيجة السباق الخامس عشر – منيفه 200 كم – لنادى الصباحية (آخر رد :الأتحاد الكويتي)       :: نتيجة السباق الخامس عشر – منيفه 200 كم – السباقات المشتركة (آخر رد :الأتحاد الكويتي)      

إضافة رد
 
أدوات الموضوع إبحث في الموضوع انواع عرض الموضوع
قديم 04-11-2010, 11:06 PM رقم المشاركة : 1
معلومات العضو
أبو عصام
مدير

الصورة الرمزية أبو عصام

Best نتيجة سباق العلمين (جمعية تأصيل وتنمية حمام الزاجل )


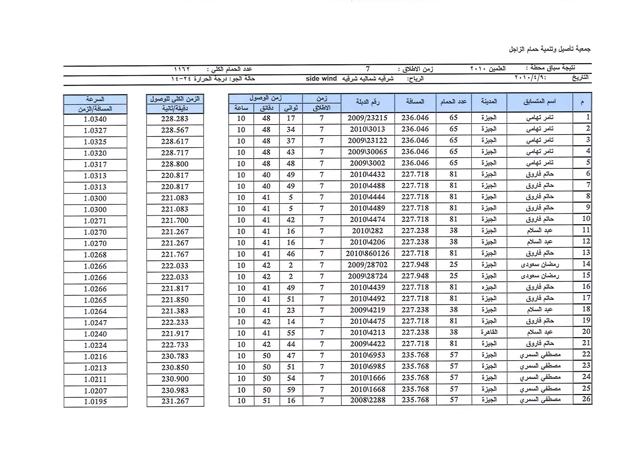
السادة أعضاء المنتدى الكرام تحية حب إليكم نتيجة جمعية تأصيل وتنمية حمام الزاجل سباق العلمين السباق الثاني لموسم 2010 فلنارك للفائزين وحظ أوفر للباقي المستابقين بإذن الله .


مع تمنياتي للجميع بالتوفيق بإذن الله






التوقيع






أبو عصام

قال تعالى {{ يَا أَيُّهَا الَّذِينَ آمَنُوا إِنْ جَاءَكُمْ فَاسِقٌ بِنَبَإٍ فَتَبَيَّنُوا أَنْ تُصِيبُوا قَوْمًا بِجَهَالَةٍ فَتُصْبِحُوا عَلَى مَا فَعَلْتُمْ نَدِمِينَ }}صدق الله العظيم
مع تحيات إدارة منتديات الإتحاد الكويتي لسباق الحمام الزاجل

رد مع اقتباس
قديم 04-11-2010, 11:56 PM رقم المشاركة : 2
معلومات العضو
فواز الفزير
عضو الاتحاد
إحصائية العضو







آخر مواضيعي

0 افراح الفزير

فواز الفزير غير متواجد حالياً


افتراضي

مبروكين
موفق بإذن الله ... لك مني أجمل تحية .







التوقيع

رد مع اقتباس
قديم 04-11-2010, 11:59 PM رقم المشاركة : 3
معلومات العضو
Fayez Q8
عضو الاتحاد

الصورة الرمزية Fayez Q8

افتراضي

مبروك
للفايزين
وحظ اوفر
للبقيه
موفق بإذن الله






التوقيع

.








.
.
رد مع اقتباس
قديم 04-12-2010, 12:48 AM رقم المشاركة : 4
معلومات العضو
أبوفيصل
زائر
افتراضي


مبروك
للفايزين
وحظ اوفر
للبقيه
موفق بإذن الله







رد مع اقتباس
قديم 04-12-2010, 12:53 AM رقم المشاركة : 5
معلومات العضو
احمد الهاملي
عضو خاص
افتراضي

ألف مبروك للفائزين
ومبروك لتهامى المراكز
الأولى ..شكرا بوعصام
البطل كان منور فى دبى
عندنا..تحياتى







التوقيع

إنى نظرت إلى الخلق يعادى بعضهم بعضا ويبغى بعضهم على بعض ويقاتل بعضهم بعضا...ونظرت إلى قول الله تعالى (إن الشيطان لكم عدو فاتخذوه عدوا) فتركت عداوة الخلق وتفرغت لعداوة الشيطان وحده.
رد مع اقتباس
قديم 04-12-2010, 12:55 AM رقم المشاركة : 6
معلومات العضو
جابر النمر
عضو
افتراضي

السلام عليكم ورحمة الله وبركاته

مبروكين يا الابطال

شـكــ وبارك الله فيك ـــرا لك ... لك مني أجمل تحية .

يابو عصام على العرض النتائج

موفق بإذن الله ... لك مني أجمل تحية .







التوقيع

رد مع اقتباس
قديم 04-12-2010, 01:21 AM رقم المشاركة : 7
معلومات العضو
جاسم الكليب
عضو الاتحاد

الصورة الرمزية جاسم الكليب

إحصائية العضو







آخر مواضيعي

جاسم الكليب غير متواجد حالياً


افتراضي مبروك

مبروك للجميع







رد مع اقتباس
قديم 04-12-2010, 01:23 AM رقم المشاركة : 8
معلومات العضو
عتيج_المسيان
مدير

الصورة الرمزية عتيج_المسيان

إحصائية العضو







آخر مواضيعي

عتيج_المسيان غير متواجد حالياً


افتراضي

السلام عليكم ورحمة الله وبركاته

ألف مبروك للفائزين وحظ اوفر لبقية المتسابقين

موفقين بإذن الله ... لكم مني أجمل تحية .






التوقيع

الميـــــــــــــــراج __ The Mirage Loft

www.kwtzajelunion.com

تابعو نتائج السباقات واخبار الاتحاد على التويتر

Kwtzajelunion@

قال رسول الله صلى الله عليه وسلم : لا تحاسدوا ، ولا تناجشوا ، ولا تباغضوا ، ولا تدابروا
ولا يبع بعضكم على بيع بعض ، وكونوا عباد الله إخوانا ، المسلم أخو المسلم ، لا يظلمه ، ولا يخذله ، ولا يكذبه ، ولا يحقره

ـــــــــــــــــــــــ


ستـــــوك الميـــــراج


الـــــزوج الـــــذهبي

دك ميـــــرمـــــن

سواريز x ديين




رد مع اقتباس
قديم 04-12-2010, 01:26 PM رقم المشاركة : 9
معلومات العضو
الحاوي
عضو جديد

الصورة الرمزية الحاوي

إحصائية العضو







آخر مواضيعي

0 قلعة من قلاع الزاجل

الحاوي غير متواجد حالياً


افتراضي

الف مبروك للبطل المصري (الفرعون الصغير) تامر تهامي لحصوله على المراكز الأولى
مشاء الله مع تمنياتنا له بدوام التوفيق وحظ أوفر لباقي المتسابقين






التوقيع

الحاوي
رد مع اقتباس
قديم 04-12-2010, 03:57 PM رقم المشاركة : 10
معلومات العضو
دكتور ابواحمد
عضو خاص
افتراضي

بسم الله الرحمن الرحيم
شـكــ وبارك الله فيك ـــرا لك ... لك مني أجمل تحية .
موفق بإذن الله ... لك مني أجمل تحية .







رد مع اقتباس
إضافة رد


تعليمات المشاركة
لا تستطيع إضافة مواضيع جديدة
لا تستطيع الرد على المواضيع
لا تستطيع إرفاق ملفات
لا تستطيع تعديل مشاركاتك

BB code is متاحة
كود [IMG] متاحة
كود HTML معطلة

الانتقال السريع


الساعة الآن 10:48 PM.


Powered by vBulletin® Special Version Ultimate Users, Copyright ©2000 - 2026, Jelsoft Enterprises Ltd.

Powered By SZ4h.com

جميع الحقوق محفوظة لموقع ومنتدي الاتحاد الكويتي لسباق حمام الزاجل