Links
اهلا وسهلا بكم في منتديات الاتحاد الكويتي لسباق حمام الزاجل كلمة الإدارة


> منتديات الاتحاد الكويتي لسباق حمام الزاجل > منتدي اخبار السباقات > نتائج سباقات الاتحاد الكويتي / Race results > نتيجة السباق 13

« آخـــر الـــمـــشـــاركــــات »
         :: نتيجة السباق الخامس عشر – منيفه 200 كم – لنادي الوفرة مشتركة (شرقي وغربي) (آخر رد :الأتحاد الكويتي)       :: نتيجة السباق الخامس عشر – منيفه 200 كم – لنادى الوفرة غربي (آخر رد :الأتحاد الكويتي)       :: نتيجة السباق الخامس عشر – منيفه 200 كم – لنادى الوفرة شرقي (آخر رد :الأتحاد الكويتي)       :: نتيجة السباق الخامس عشر – منيفه 200 كم – لنادى سلوى (آخر رد :الأتحاد الكويتي)       :: نتيجة السباق الخامس عشر – منيفه 200 كم – لنادى أم الهيمان (آخر رد :الأتحاد الكويتي)       :: نتيجة السباق الخامس عشر – منيفه 200 كم – لنادى الفنيطيس (آخر رد :الأتحاد الكويتي)       :: نتيجة السباق الخامس عشر – منيفه 200 كم – لنادى الفروانية (آخر رد :الأتحاد الكويتي)       :: نتيجة السباق الخامس عشر – منيفه 200 كم – لنادى العبدلي (آخر رد :الأتحاد الكويتي)       :: نتيجة السباق الخامس عشر – منيفه 200 كم – لنادى الصباحية (آخر رد :الأتحاد الكويتي)       :: نتيجة السباق الخامس عشر – منيفه 200 كم – السباقات المشتركة (آخر رد :الأتحاد الكويتي)      

موضوع مغلق
 
أدوات الموضوع إبحث في الموضوع انواع عرض الموضوع
قديم 02-21-2009, 09:06 PM رقم المشاركة : 1
معلومات العضو
union
زائر
Announcment نتيجة السباق 13

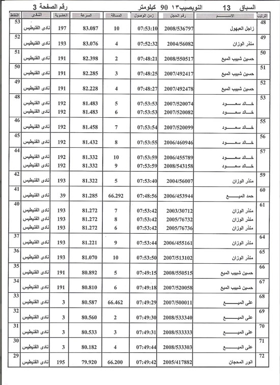
نتيجة السباق 13
والف مبروك لجميع المتسابقين




افضل عشرين طير على الاتحاد

التفوق العام






آخر تعديل علي الميع يوم 07-22-2009 في 11:49 AM.
قديم 02-21-2009, 09:27 PM رقم المشاركة : 2
معلومات العضو
بومشارى
عضو مبدع
افتراضي

مبروكين محمد الفزير نادى سلوى وخالد سعود نادى الفنيطيس كفو ياابناء الاتحاد عساكم على القوة







قديم 02-21-2009, 09:39 PM رقم المشاركة : 3
معلومات العضو
عتيج_المسيان
مدير

الصورة الرمزية عتيج_المسيان

افتراضي

مبروك للأخ محمد الفزير و البطل خالد سعود






التوقيع

الميـــــــــــــــراج __ The Mirage Loft

www.kwtzajelunion.com

تابعو نتائج السباقات واخبار الاتحاد على التويتر

Kwtzajelunion@

قال رسول الله صلى الله عليه وسلم : لا تحاسدوا ، ولا تناجشوا ، ولا تباغضوا ، ولا تدابروا
ولا يبع بعضكم على بيع بعض ، وكونوا عباد الله إخوانا ، المسلم أخو المسلم ، لا يظلمه ، ولا يخذله ، ولا يكذبه ، ولا يحقره

ـــــــــــــــــــــــ


ستـــــوك الميـــــراج


الـــــزوج الـــــذهبي

دك ميـــــرمـــــن

سواريز x ديين




قديم 02-21-2009, 09:43 PM رقم المشاركة : 4
معلومات العضو
union
زائر
افتراضي


الف الف مبروك للأبطال محمد الفزير على الطير القمبله
والف الف مبروك للبطل خالد سعود على الطير الصعب ابو
كاسين مع تمنياتي للجميع بالتوفيق






قديم 02-21-2009, 09:52 PM رقم المشاركة : 5
معلومات العضو
kuwait
عضو جديد
إحصائية العضو







آخر مواضيعي

kuwait غير متواجد حالياً


افتراضي

مشاء الله على الفوز للأبطال محمد الفزير وخالد
سعود والله يوفقكم يا ابناء الاتحاد






قديم 02-21-2009, 10:37 PM رقم المشاركة : 6
معلومات العضو
محمد الفزير
عضو الاتحاد

الصورة الرمزية محمد الفزير

إحصائية العضو







آخر مواضيعي

محمد الفزير غير متواجد حالياً


افتراضي

مبروك للبطل وصانع الابطال خالد سعود الميع على الفوز الطيب و منها لاعلى يابطل الله يوفقك يلا نبي كاس ثالث لهذا البطل شد حيلك


اخوك محمد الفزير







قديم 02-21-2009, 10:59 PM رقم المشاركة : 7
معلومات العضو
علي الميع
المدير العام
افتراضي

مبروكين عدل يالابطال محمد سعود وخالد سعود فعلتوها يالصواريخ والله يبارك للجميع حياتى لكم







قديم 02-22-2009, 12:03 AM رقم المشاركة : 8
معلومات العضو
ahmad saad
مـــدير
إحصائية العضو







آخر مواضيعي

ahmad saad غير متواجد حالياً


افتراضي


مبروووك للبطل محمد سعود الفزير على الفوز
ومبرووك للبطل خالد سعود بطل وكررتها والله يوفقك
أخوكم أحمد سعد ( مركز مشرف )






قديم 02-22-2009, 02:19 AM رقم المشاركة : 9
معلومات العضو
مبارك الختلان
عضو الاتحاد

الصورة الرمزية مبارك الختلان

إحصائية العضو







آخر مواضيعي

مبارك الختلان غير متواجد حالياً


افتراضي

الف مبروك للفائزين

بالتوفيق للجميع


الف شكر لك union علي عرض النتائج


تقبل مروري






قديم 02-22-2009, 01:50 PM رقم المشاركة : 10
معلومات العضو
صالح المشوط
زائر
Cup

اقتباس:
المشاركة الأصلية كتبت بواسطة بومشارى مشاهدة المشاركة
مبروكين محمد الفزير نادى سلوى وخالد سعود نادى الفنيطيس كفو ياابناء الاتحاد عساكم على القوة
الله يبارك فيك اخوي والله يعطيك العافيه
شكرا جزيلا لك






موضوع مغلق


تعليمات المشاركة
لا تستطيع إضافة مواضيع جديدة
لا تستطيع الرد على المواضيع
لا تستطيع إرفاق ملفات
لا تستطيع تعديل مشاركاتك

BB code is متاحة
كود [IMG] متاحة
كود HTML معطلة

الانتقال السريع


الساعة الآن 02:53 AM.


Powered by vBulletin® Special Version Ultimate Users, Copyright ©2000 - 2026, Jelsoft Enterprises Ltd.

Powered By SZ4h.com

جميع الحقوق محفوظة لموقع ومنتدي الاتحاد الكويتي لسباق حمام الزاجل