Links
اهلا وسهلا بكم في منتديات الاتحاد الكويتي لسباق حمام الزاجل كلمة الإدارة


> منتديات الاتحاد الكويتي لسباق حمام الزاجل > أخبار الاتحادات والاندية > اخبار هواة الحمام الزاجل بجمهورية مصر العربية > نتيجة رأس الحكمة السباق الثالث موسم 2010

« آخـــر الـــمـــشـــاركــــات »
         :: نتيجة السباق الخامس عشر – منيفه 200 كم – لنادي الوفرة مشتركة (شرقي وغربي) (آخر رد :الأتحاد الكويتي)       :: نتيجة السباق الخامس عشر – منيفه 200 كم – لنادى الوفرة غربي (آخر رد :الأتحاد الكويتي)       :: نتيجة السباق الخامس عشر – منيفه 200 كم – لنادى الوفرة شرقي (آخر رد :الأتحاد الكويتي)       :: نتيجة السباق الخامس عشر – منيفه 200 كم – لنادى سلوى (آخر رد :الأتحاد الكويتي)       :: نتيجة السباق الخامس عشر – منيفه 200 كم – لنادى أم الهيمان (آخر رد :الأتحاد الكويتي)       :: نتيجة السباق الخامس عشر – منيفه 200 كم – لنادى الفنيطيس (آخر رد :الأتحاد الكويتي)       :: نتيجة السباق الخامس عشر – منيفه 200 كم – لنادى الفروانية (آخر رد :الأتحاد الكويتي)       :: نتيجة السباق الخامس عشر – منيفه 200 كم – لنادى العبدلي (آخر رد :الأتحاد الكويتي)       :: نتيجة السباق الخامس عشر – منيفه 200 كم – لنادى الصباحية (آخر رد :الأتحاد الكويتي)       :: نتيجة السباق الخامس عشر – منيفه 200 كم – السباقات المشتركة (آخر رد :الأتحاد الكويتي)      

إضافة رد
 
أدوات الموضوع إبحث في الموضوع انواع عرض الموضوع
قديم 04-26-2010, 07:13 PM رقم المشاركة : 1
معلومات العضو
أبو عصام
مدير

الصورة الرمزية أبو عصام

Best نتيجة رأس الحكمة السباق الثالث موسم 2010


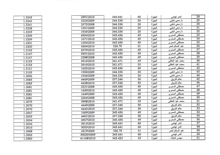
السادة أعضاء المنتدى الكرام تحية حب وموده إليكم نتيجة جمعية تأصيل وتنمية حمام الزاجل سباق محطة رأس الحكمة السباق الثالث لموسم 2010 فالبنارك للفائزين وحظ أوفر للباقي المتسابقين بإذن الله .


مع تمنياتي للجميع بالتوفيق بإذن الله






التوقيع






أبو عصام

قال تعالى {{ يَا أَيُّهَا الَّذِينَ آمَنُوا إِنْ جَاءَكُمْ فَاسِقٌ بِنَبَإٍ فَتَبَيَّنُوا أَنْ تُصِيبُوا قَوْمًا بِجَهَالَةٍ فَتُصْبِحُوا عَلَى مَا فَعَلْتُمْ نَدِمِينَ }}صدق الله العظيم
مع تحيات إدارة منتديات الإتحاد الكويتي لسباق الحمام الزاجل

رد مع اقتباس
قديم 04-26-2010, 07:56 PM رقم المشاركة : 2
معلومات العضو
ahmad saad
مـــدير
افتراضي


السلام عليكم ورحمة الله وبركاته
مبروك تامر تهامى المراكز الأولى وحظ اوفر للبقيه
شـكــ وبارك الله فيك ـــرا لك ... لك مني أجمل تحية .






التوقيع

أحمد سعد الجويسرى ( مركز مشرف )

رد مع اقتباس
قديم 04-26-2010, 10:03 PM رقم المشاركة : 3
معلومات العضو
عتيج_المسيان
مدير

الصورة الرمزية عتيج_المسيان

إحصائية العضو







آخر مواضيعي

عتيج_المسيان غير متواجد حالياً


افتراضي

السلام عليكم ورحمة الله وبركاته

ألف مبروك للفائزين وحظ اوفر لباقي المتسابقين

شـكــ وبارك الله فيك ـــرا لك ... لك مني أجمل تحية .






التوقيع

الميـــــــــــــــراج __ The Mirage Loft

www.kwtzajelunion.com

تابعو نتائج السباقات واخبار الاتحاد على التويتر

Kwtzajelunion@

قال رسول الله صلى الله عليه وسلم : لا تحاسدوا ، ولا تناجشوا ، ولا تباغضوا ، ولا تدابروا
ولا يبع بعضكم على بيع بعض ، وكونوا عباد الله إخوانا ، المسلم أخو المسلم ، لا يظلمه ، ولا يخذله ، ولا يكذبه ، ولا يحقره

ـــــــــــــــــــــــ


ستـــــوك الميـــــراج


الـــــزوج الـــــذهبي

دك ميـــــرمـــــن

سواريز x ديين




رد مع اقتباس
قديم 04-26-2010, 11:01 PM رقم المشاركة : 4
معلومات العضو
جابر النمر
عضو
افتراضي

السلام عليكم ورحمة الله وبركاته
مبروك تامر تهامى المراكز الأولى وحظ اوفر للبقيه
شـكــ وبارك الله فيك ـــرا لك ... لك مني أجمل تحية .







التوقيع

رد مع اقتباس
قديم 04-26-2010, 11:49 PM رقم المشاركة : 5
معلومات العضو
Fayez Q8
عضو الاتحاد

الصورة الرمزية Fayez Q8

افتراضي

مبروك للفائزين
وحظ أوفر لباقي المتسابقين
بإذن الله






التوقيع

.








.
.
رد مع اقتباس
قديم 04-26-2010, 11:57 PM رقم المشاركة : 6
معلومات العضو
هاوي قديم
الـــمـديــر

الصورة الرمزية هاوي قديم

افتراضي

السلام عليكم ورحمة الله وبركاته
مبروك تامر تهامى المراكز الأولى وحظ اوفر للبقيه
شـكــ وبارك الله فيك ـــرا لك ... لك مني أجمل تحية .







التوقيع

إذا كنت لا تقرأ إلا ما يُعجبك فقط .. فإنك إذاً لن تتعلم أبداً
رد مع اقتباس
إضافة رد


تعليمات المشاركة
لا تستطيع إضافة مواضيع جديدة
لا تستطيع الرد على المواضيع
لا تستطيع إرفاق ملفات
لا تستطيع تعديل مشاركاتك

BB code is متاحة
كود [IMG] متاحة
كود HTML معطلة

الانتقال السريع


الساعة الآن 08:22 PM.


Powered by vBulletin® Special Version Ultimate Users, Copyright ©2000 - 2026, Jelsoft Enterprises Ltd.

Powered By SZ4h.com

جميع الحقوق محفوظة لموقع ومنتدي الاتحاد الكويتي لسباق حمام الزاجل