Links
اهلا وسهلا بكم في منتديات الاتحاد الكويتي لسباق حمام الزاجل كلمة الإدارة


> منتديات الاتحاد الكويتي لسباق حمام الزاجل > أخبار الاتحادات والاندية > اخبار هواة الحمام الزاجل بجمهورية مصر العربية > نتيجة سباق السلوم 600 كيلوا (جمعية تأصيل وتنمية حمام الزاجل )

« آخـــر الـــمـــشـــاركــــات »
         :: نتيجة السباق الخامس عشر – منيفه 200 كم – لنادي الوفرة مشتركة (شرقي وغربي) (آخر رد :الأتحاد الكويتي)       :: نتيجة السباق الخامس عشر – منيفه 200 كم – لنادى الوفرة غربي (آخر رد :الأتحاد الكويتي)       :: نتيجة السباق الخامس عشر – منيفه 200 كم – لنادى الوفرة شرقي (آخر رد :الأتحاد الكويتي)       :: نتيجة السباق الخامس عشر – منيفه 200 كم – لنادى سلوى (آخر رد :الأتحاد الكويتي)       :: نتيجة السباق الخامس عشر – منيفه 200 كم – لنادى أم الهيمان (آخر رد :الأتحاد الكويتي)       :: نتيجة السباق الخامس عشر – منيفه 200 كم – لنادى الفنيطيس (آخر رد :الأتحاد الكويتي)       :: نتيجة السباق الخامس عشر – منيفه 200 كم – لنادى الفروانية (آخر رد :الأتحاد الكويتي)       :: نتيجة السباق الخامس عشر – منيفه 200 كم – لنادى العبدلي (آخر رد :الأتحاد الكويتي)       :: نتيجة السباق الخامس عشر – منيفه 200 كم – لنادى الصباحية (آخر رد :الأتحاد الكويتي)       :: نتيجة السباق الخامس عشر – منيفه 200 كم – السباقات المشتركة (آخر رد :الأتحاد الكويتي)      

إضافة رد
 
أدوات الموضوع إبحث في الموضوع انواع عرض الموضوع
قديم 05-25-2010, 07:54 PM رقم المشاركة : 1
معلومات العضو
أبو عصام
مدير

الصورة الرمزية أبو عصام

Best نتيجة سباق السلوم 600 كيلوا (جمعية تأصيل وتنمية حمام الزاجل )


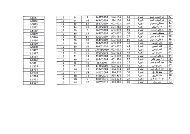
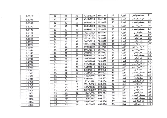
السادة أعضاء المنتدى الكرام تحية حب وموده إليكم نتيجة جمعية تأصيل وتنمية حمام الزاجل سباق محطة السلوم 600 ك لموسم 2010 وكانت حالة الرياح شمالية غربية فلنبارك للفائزين وحظ أوفر للباقي المتسابقين بإذن الله .

مع تمنياتي للجميع بالتوفيق بإذن الله






التوقيع






أبو عصام

قال تعالى {{ يَا أَيُّهَا الَّذِينَ آمَنُوا إِنْ جَاءَكُمْ فَاسِقٌ بِنَبَإٍ فَتَبَيَّنُوا أَنْ تُصِيبُوا قَوْمًا بِجَهَالَةٍ فَتُصْبِحُوا عَلَى مَا فَعَلْتُمْ نَدِمِينَ }}صدق الله العظيم
مع تحيات إدارة منتديات الإتحاد الكويتي لسباق الحمام الزاجل

رد مع اقتباس
قديم 05-25-2010, 08:28 PM رقم المشاركة : 2
معلومات العضو
morir75
عضو جديد
افتراضي

كنت ناوي انزلها من قبلك بس انت سبقتني ما شي يا با شا الف مبروك للجميع







رد مع اقتباس
قديم 05-25-2010, 08:48 PM رقم المشاركة : 3
معلومات العضو
أبو عصام
مدير

الصورة الرمزية أبو عصام

افتراضي

اقتباس:
المشاركة الأصلية كتبت بواسطة morir75 مشاهدة المشاركة
كنت ناوي انزلها من قبلك بس انت سبقتني ما شي يا با شا الف مبروك للجميع
مساك الله بالخير واحد انا وانت واحد ولو تحب اشيلها وتنزلها انت حاضرين للطيبين
مشكور على مرورك يا باشا






التوقيع






أبو عصام

قال تعالى {{ يَا أَيُّهَا الَّذِينَ آمَنُوا إِنْ جَاءَكُمْ فَاسِقٌ بِنَبَإٍ فَتَبَيَّنُوا أَنْ تُصِيبُوا قَوْمًا بِجَهَالَةٍ فَتُصْبِحُوا عَلَى مَا فَعَلْتُمْ نَدِمِينَ }}صدق الله العظيم
مع تحيات إدارة منتديات الإتحاد الكويتي لسباق الحمام الزاجل

رد مع اقتباس
قديم 05-25-2010, 10:07 PM رقم المشاركة : 4
معلومات العضو
صالح المشوط
زائر
إحصائية العضو






آخر مواضيعي


افتراضي

الف مبروك للفائزين وشكرا اخي ابوعصام على عرض النتيجه

موفق بإذن الله ... لك مني أجمل تحية .







رد مع اقتباس
قديم 05-25-2010, 10:30 PM رقم المشاركة : 5
معلومات العضو
حمد الميع2
زائر
افتراضي

موفق بإذن الله ... لك مني أجمل تحية .







رد مع اقتباس
قديم 05-25-2010, 11:30 PM رقم المشاركة : 6
معلومات العضو
بودستور
عضو موثوق فية
افتراضي

بسم الله الرحمن الرحيم
وعليكم السلام ورحمة الله وبركاته
الف مبروك للبطل تامر تهامي وحظ اوفر لبقية الابطال
موفقين بإذن الله ... لكم مني أجمل تحية .






رد مع اقتباس
قديم 05-25-2010, 11:38 PM رقم المشاركة : 7
معلومات العضو
هاوي قديم
الـــمـديــر

الصورة الرمزية هاوي قديم

افتراضي

السلام عليكم ورحمة الله وبركاته

الف مبروك للفائزين وحظ اوفر للبقية ... شـكــ وبارك الله فيك ـــرا لك ... لك مني أجمل تحية .







التوقيع

إذا كنت لا تقرأ إلا ما يُعجبك فقط .. فإنك إذاً لن تتعلم أبداً
رد مع اقتباس
قديم 05-25-2010, 11:40 PM رقم المشاركة : 8
معلومات العضو
احمد الهاملي
عضو خاص
افتراضي

ألف مبروك لتامر تهامى المركز الأول
ومبروك للسمرى المركز الثانى
ومبروك لجميع الفائزين







التوقيع

إنى نظرت إلى الخلق يعادى بعضهم بعضا ويبغى بعضهم على بعض ويقاتل بعضهم بعضا...ونظرت إلى قول الله تعالى (إن الشيطان لكم عدو فاتخذوه عدوا) فتركت عداوة الخلق وتفرغت لعداوة الشيطان وحده.
رد مع اقتباس
قديم 05-26-2010, 01:16 AM رقم المشاركة : 9
معلومات العضو
جابر النمر
عضو
افتراضي

السلام عليكم ورحمة الله وبركاته

الف مبروك يا ابطال

موفق بإذن الله ... لك مني أجمل تحية .

شـكــ وبارك الله فيك ـــرا لك ... لك مني أجمل تحية .







التوقيع

رد مع اقتباس
قديم 05-26-2010, 01:53 AM رقم المشاركة : 10
معلومات العضو
تحسين ابو سامر
عضو خاص

الصورة الرمزية تحسين ابو سامر

إحصائية العضو







آخر مواضيعي

تحسين ابو سامر غير متواجد حالياً


افتراضي

مشكور اخي ابو عصام على عرض النتائج الف الف مبروك
للجميع الفائزين







رد مع اقتباس
إضافة رد


تعليمات المشاركة
لا تستطيع إضافة مواضيع جديدة
لا تستطيع الرد على المواضيع
لا تستطيع إرفاق ملفات
لا تستطيع تعديل مشاركاتك

BB code is متاحة
كود [IMG] متاحة
كود HTML معطلة

الانتقال السريع


الساعة الآن 10:48 PM.


Powered by vBulletin® Special Version Ultimate Users, Copyright ©2000 - 2026, Jelsoft Enterprises Ltd.

Powered By SZ4h.com

جميع الحقوق محفوظة لموقع ومنتدي الاتحاد الكويتي لسباق حمام الزاجل