Links
اهلا وسهلا بكم في منتديات الاتحاد الكويتي لسباق حمام الزاجل كلمة الإدارة


> منتديات الاتحاد الكويتي لسباق حمام الزاجل > أخبار الاتحادات والاندية > اخبار هواة الحمام الزاجل بجمهورية مصر العربية > سباق تجريبي 150 كيلوا لتجربة ساعة البريكون لجمعية تنمية وتأصيل حمام الزاجل

« آخـــر الـــمـــشـــاركــــات »
         :: نتيجة السباق الخامس عشر – منيفه 200 كم – لنادي الوفرة مشتركة (شرقي وغربي) (آخر رد :الأتحاد الكويتي)       :: نتيجة السباق الخامس عشر – منيفه 200 كم – لنادى الوفرة غربي (آخر رد :الأتحاد الكويتي)       :: نتيجة السباق الخامس عشر – منيفه 200 كم – لنادى الوفرة شرقي (آخر رد :الأتحاد الكويتي)       :: نتيجة السباق الخامس عشر – منيفه 200 كم – لنادى سلوى (آخر رد :الأتحاد الكويتي)       :: نتيجة السباق الخامس عشر – منيفه 200 كم – لنادى أم الهيمان (آخر رد :الأتحاد الكويتي)       :: نتيجة السباق الخامس عشر – منيفه 200 كم – لنادى الفنيطيس (آخر رد :الأتحاد الكويتي)       :: نتيجة السباق الخامس عشر – منيفه 200 كم – لنادى الفروانية (آخر رد :الأتحاد الكويتي)       :: نتيجة السباق الخامس عشر – منيفه 200 كم – لنادى العبدلي (آخر رد :الأتحاد الكويتي)       :: نتيجة السباق الخامس عشر – منيفه 200 كم – لنادى الصباحية (آخر رد :الأتحاد الكويتي)       :: نتيجة السباق الخامس عشر – منيفه 200 كم – السباقات المشتركة (آخر رد :الأتحاد الكويتي)      

إضافة رد
 
أدوات الموضوع إبحث في الموضوع انواع عرض الموضوع
قديم 03-08-2011, 10:54 AM رقم المشاركة : 1
معلومات العضو
أبو عصام
مدير

الصورة الرمزية أبو عصام

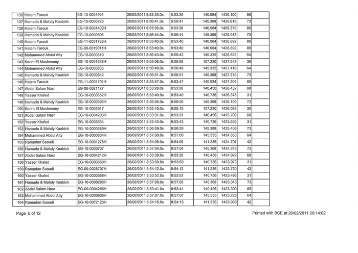
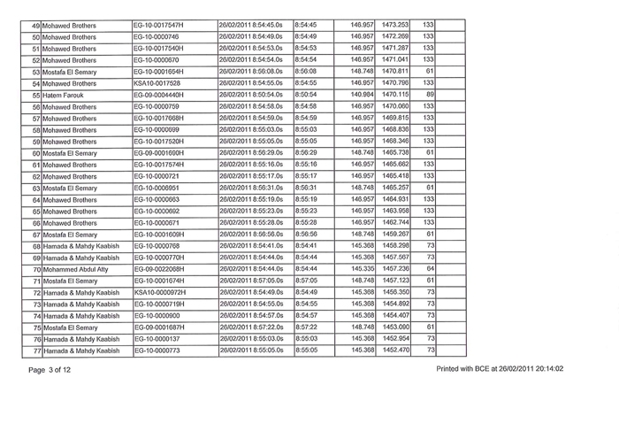
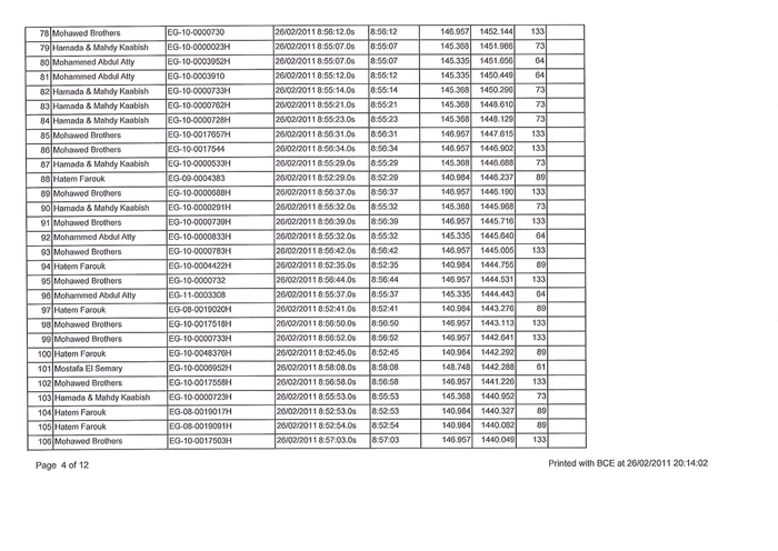
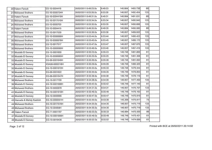
Best سباق تجريبي 150 كيلوا لتجربة ساعة البريكون لجمعية تنمية وتأصيل حمام الزاجل


السادة أعضاء المنتدى الكرام تحية حب ومودة
إليكم نتيجة السباق التجريبي لجمعية تنمية وتأصيل حمام الزاجل
بجمهورية مصر العربية السباق والذي تم لتجربة الساعة الجديده بريكون
وتفوق ملحوظ الاخوه مهاود












الف مبروك للأبطال الاخوه مهاود الفوز الجميل ده وحظ أوفر لباقي المتسابقين بإذن الله






التوقيع






أبو عصام

قال تعالى {{ يَا أَيُّهَا الَّذِينَ آمَنُوا إِنْ جَاءَكُمْ فَاسِقٌ بِنَبَإٍ فَتَبَيَّنُوا أَنْ تُصِيبُوا قَوْمًا بِجَهَالَةٍ فَتُصْبِحُوا عَلَى مَا فَعَلْتُمْ نَدِمِينَ }}صدق الله العظيم
مع تحيات إدارة منتديات الإتحاد الكويتي لسباق الحمام الزاجل

آخر تعديل أبو عصام يوم 03-08-2011 في 10:59 AM.
رد مع اقتباس
قديم 03-08-2011, 12:04 PM رقم المشاركة : 2
معلومات العضو
عباس حسين
عضو خاص
إحصائية العضو







آخر مواضيعي

عباس حسين غير متواجد حالياً


افتراضي

السلام عليكم ورحمة الله وبركاته

شـكــ وبارك الله فيك ـــرا لك ... لك مني أجمل تحية .







رد مع اقتباس
قديم 03-08-2011, 12:26 PM رقم المشاركة : 3
معلومات العضو
بدر السنافي
عضو الاتحاد
إحصائية العضو







آخر مواضيعي

بدر السنافي غير متواجد حالياً


افتراضي

السلام عليكم ورحمة الله وبركاته
الف مبروك للاخوة مهاود ومبروك للجميع







رد مع اقتباس
قديم 03-08-2011, 07:16 PM رقم المشاركة : 4
معلومات العضو
مشعل فالح
عضو الاتحاد
افتراضي

شـكــ وبارك الله فيك ـــرا لك ... لك مني أجمل تحية .

موفق بإذن الله ... لك مني أجمل تحية .






رد مع اقتباس
قديم 03-08-2011, 08:06 PM رقم المشاركة : 5
معلومات العضو
تحسين ابو سامر
عضو خاص

الصورة الرمزية تحسين ابو سامر

إحصائية العضو







آخر مواضيعي

تحسين ابو سامر غير متواجد حالياً


افتراضي

مشكور اخي العزيز ابو عصام على عرض النتائج

الف الف مبروك للجميع الفائزين

موفق بإذن الله ... لك مني أجمل تحية .







التوقيع

رد مع اقتباس
قديم 03-08-2011, 10:44 PM رقم المشاركة : 6
معلومات العضو
فهد الوطري
عضو الاتحاد
افتراضي

مشكور اخي العزيز ابو عصام على عرض النتائج
الف الف مبروك للجميع الفائزين
موفق بإذن الله ... لك مني أجمل تحية .






التوقيع


visit our web : www.q8zajel.com

موقع مزادات كويت بيبا

www.q8pipa.com

رد مع اقتباس
قديم 03-08-2011, 10:57 PM رقم المشاركة : 7
معلومات العضو
عتيج_المسيان
مدير

الصورة الرمزية عتيج_المسيان

إحصائية العضو







آخر مواضيعي

عتيج_المسيان غير متواجد حالياً


افتراضي

السلام عليكم ورحمة الله وبركاته

ألف مبروك للفائزين .. وحظ اوفر لباقي المتسابقين

موفقين بإذن الله ... لكم مني أجمل تحية .






التوقيع

الميـــــــــــــــراج __ The Mirage Loft

www.kwtzajelunion.com

تابعو نتائج السباقات واخبار الاتحاد على التويتر

Kwtzajelunion@

قال رسول الله صلى الله عليه وسلم : لا تحاسدوا ، ولا تناجشوا ، ولا تباغضوا ، ولا تدابروا
ولا يبع بعضكم على بيع بعض ، وكونوا عباد الله إخوانا ، المسلم أخو المسلم ، لا يظلمه ، ولا يخذله ، ولا يكذبه ، ولا يحقره

ـــــــــــــــــــــــ


ستـــــوك الميـــــراج


الـــــزوج الـــــذهبي

دك ميـــــرمـــــن

سواريز x ديين




رد مع اقتباس
قديم 03-09-2011, 12:59 AM رقم المشاركة : 8
معلومات العضو
وسام ابو زيد
عضو خاص
افتراضي

السلام عليكم ورحمة الله وبركاته

ألف مبروك للفائزين .. وحظ اوفر لباقي المتسابقين

موفقين بإذن الله ... لكم مني أجمل تحية







التوقيع

رد مع اقتباس
إضافة رد


تعليمات المشاركة
لا تستطيع إضافة مواضيع جديدة
لا تستطيع الرد على المواضيع
لا تستطيع إرفاق ملفات
لا تستطيع تعديل مشاركاتك

BB code is متاحة
كود [IMG] متاحة
كود HTML معطلة

الانتقال السريع


الساعة الآن 12:53 AM.


Powered by vBulletin® Special Version Ultimate Users, Copyright ©2000 - 2026, Jelsoft Enterprises Ltd.

Powered By SZ4h.com

جميع الحقوق محفوظة لموقع ومنتدي الاتحاد الكويتي لسباق حمام الزاجل