Links
اهلا وسهلا بكم في منتديات الاتحاد الكويتي لسباق حمام الزاجل كلمة الإدارة


> منتديات الاتحاد الكويتي لسباق حمام الزاجل > أخبار الاتحادات والاندية > اخبار هواة الحمام الزاجل بجمهورية مصر العربية > الحمَام 200 ك السباق الاول جمعية تنمية وتأصيل حمام الزاجل موسم 2011

« آخـــر الـــمـــشـــاركــــات »
         :: نتيجة السباق الخامس عشر – منيفه 200 كم – لنادي الوفرة مشتركة (شرقي وغربي) (آخر رد :الأتحاد الكويتي)       :: نتيجة السباق الخامس عشر – منيفه 200 كم – لنادى الوفرة غربي (آخر رد :الأتحاد الكويتي)       :: نتيجة السباق الخامس عشر – منيفه 200 كم – لنادى الوفرة شرقي (آخر رد :الأتحاد الكويتي)       :: نتيجة السباق الخامس عشر – منيفه 200 كم – لنادى سلوى (آخر رد :الأتحاد الكويتي)       :: نتيجة السباق الخامس عشر – منيفه 200 كم – لنادى أم الهيمان (آخر رد :الأتحاد الكويتي)       :: نتيجة السباق الخامس عشر – منيفه 200 كم – لنادى الفنيطيس (آخر رد :الأتحاد الكويتي)       :: نتيجة السباق الخامس عشر – منيفه 200 كم – لنادى الفروانية (آخر رد :الأتحاد الكويتي)       :: نتيجة السباق الخامس عشر – منيفه 200 كم – لنادى العبدلي (آخر رد :الأتحاد الكويتي)       :: نتيجة السباق الخامس عشر – منيفه 200 كم – لنادى الصباحية (آخر رد :الأتحاد الكويتي)       :: نتيجة السباق الخامس عشر – منيفه 200 كم – السباقات المشتركة (آخر رد :الأتحاد الكويتي)      

إضافة رد
 
أدوات الموضوع إبحث في الموضوع انواع عرض الموضوع
قديم 03-08-2011, 11:30 AM رقم المشاركة : 1
معلومات العضو
أبو عصام
مدير

الصورة الرمزية أبو عصام

Best الحمَام 200 ك السباق الاول جمعية تنمية وتأصيل حمام الزاجل موسم 2011


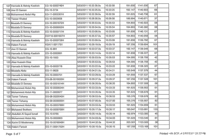
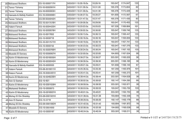
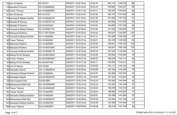
السادة أعضاء المنتدى الكرام تحية حب ومودة
إليكم نتيجة جمعية تنمية وتأصيل حمام الزاجل
بجمهورية مصر العربية السباق الأول
محطة الحمَام 200 كيلوا موسم 2011







الف مبروك للأبطال حمادة ومهدي كبيش الفوز الطيب وحظ أوفر لباقي المتسابقين بإذن الله






التوقيع






أبو عصام

قال تعالى {{ يَا أَيُّهَا الَّذِينَ آمَنُوا إِنْ جَاءَكُمْ فَاسِقٌ بِنَبَإٍ فَتَبَيَّنُوا أَنْ تُصِيبُوا قَوْمًا بِجَهَالَةٍ فَتُصْبِحُوا عَلَى مَا فَعَلْتُمْ نَدِمِينَ }}صدق الله العظيم
مع تحيات إدارة منتديات الإتحاد الكويتي لسباق الحمام الزاجل

رد مع اقتباس
قديم 03-08-2011, 12:11 PM رقم المشاركة : 2
معلومات العضو
عباس حسين
عضو خاص
إحصائية العضو







آخر مواضيعي

عباس حسين غير متواجد حالياً


افتراضي

السلام عليكم ورحمة الله وبركاته

الف مبروك للفائزين ومشكور يابوعصام على النقل







رد مع اقتباس
قديم 03-08-2011, 12:28 PM رقم المشاركة : 3
معلومات العضو
بدر السنافي
عضو الاتحاد
افتراضي

السلام عليكم ورحمة الله وبركاته
مبروك للفائزين وحظ اوفر للاخرين







رد مع اقتباس
قديم 03-08-2011, 03:56 PM رقم المشاركة : 4
معلومات العضو
سعد الجويخ
عضو الاتحاد

الصورة الرمزية سعد الجويخ

إحصائية العضو







آخر مواضيعي

0 ولد يضحك مع اخوه ‎
0 أكبر معمر في العالم

سعد الجويخ غير متواجد حالياً


افتراضي


السلام عليكم ورحمة الله وبركاته
مبروك للفائزين وحظ اوفر لمن لم يحالفهم الفوز
موفق بإذن الله ... لك مني أجمل تحية .







التوقيع



الصــــبر مفتاح الفرج عند والي الاقدار _ومن لاصبر تصبح أحواله كسيفه

رد مع اقتباس
قديم 03-08-2011, 03:59 PM رقم المشاركة : 5
معلومات العضو
تحسين ابو سامر
عضو خاص

الصورة الرمزية تحسين ابو سامر

إحصائية العضو







آخر مواضيعي

تحسين ابو سامر غير متواجد حالياً


افتراضي

مشكور ابو عصام على عرض النتائج

الف الف مبروك للجميع الفائزين

موفق بإذن الله ... لك مني أجمل تحية .







التوقيع

رد مع اقتباس
قديم 03-08-2011, 07:17 PM رقم المشاركة : 6
معلومات العضو
مشعل فالح
عضو الاتحاد
افتراضي

ألف مبروك للفائز وحظ أوفر للبقيه






رد مع اقتباس
قديم 03-08-2011, 10:46 PM رقم المشاركة : 7
معلومات العضو
فهد الوطري
عضو الاتحاد
افتراضي

مشكور اخي العزيز ابو عصام على عرض النتائج
الف الف مبروك للجميع الفائزين
موفق بإذن الله ... لك مني أجمل تحية .






التوقيع


visit our web : www.q8zajel.com

موقع مزادات كويت بيبا

www.q8pipa.com

رد مع اقتباس
قديم 03-08-2011, 10:57 PM رقم المشاركة : 8
معلومات العضو
عتيج_المسيان
مدير

الصورة الرمزية عتيج_المسيان

إحصائية العضو







آخر مواضيعي

عتيج_المسيان غير متواجد حالياً


افتراضي

السلام عليكم ورحمة الله وبركاته

ألف مبروك للفائزين .. وحظ اوفر لباقي المتسابقين

موفقين بإذن الله ... لكم مني أجمل تحية .






التوقيع

الميـــــــــــــــراج __ The Mirage Loft

www.kwtzajelunion.com

تابعو نتائج السباقات واخبار الاتحاد على التويتر

Kwtzajelunion@

قال رسول الله صلى الله عليه وسلم : لا تحاسدوا ، ولا تناجشوا ، ولا تباغضوا ، ولا تدابروا
ولا يبع بعضكم على بيع بعض ، وكونوا عباد الله إخوانا ، المسلم أخو المسلم ، لا يظلمه ، ولا يخذله ، ولا يكذبه ، ولا يحقره

ـــــــــــــــــــــــ


ستـــــوك الميـــــراج


الـــــزوج الـــــذهبي

دك ميـــــرمـــــن

سواريز x ديين




رد مع اقتباس
قديم 03-09-2011, 12:57 AM رقم المشاركة : 9
معلومات العضو
وسام ابو زيد
عضو خاص
إحصائية العضو








آخر مواضيعي

وسام ابو زيد غير متواجد حالياً


افتراضي

الف مبروك للأبطال حمادة ومهدي كبيش الفوز الطيب وحظ أوفر لباقي المتسابقين بإذن الله







التوقيع

رد مع اقتباس
قديم 03-11-2011, 10:35 PM رقم المشاركة : 10
معلومات العضو
ahmad saad
مـــدير
إحصائية العضو







آخر مواضيعي

ahmad saad غير متواجد حالياً


افتراضي


السلام عليكم ورحمة الله وبركاته

ألف مبروك للفائزين وحظ أوفر للبقيه

موفق بإذن الله ... لك مني أجمل تحية .






التوقيع

أحمد سعد الجويسرى ( مركز مشرف )

رد مع اقتباس
إضافة رد


تعليمات المشاركة
لا تستطيع إضافة مواضيع جديدة
لا تستطيع الرد على المواضيع
لا تستطيع إرفاق ملفات
لا تستطيع تعديل مشاركاتك

BB code is متاحة
كود [IMG] متاحة
كود HTML معطلة

الانتقال السريع


الساعة الآن 04:14 AM.


Powered by vBulletin® Special Version Ultimate Users, Copyright ©2000 - 2026, Jelsoft Enterprises Ltd.

Powered By SZ4h.com

جميع الحقوق محفوظة لموقع ومنتدي الاتحاد الكويتي لسباق حمام الزاجل