Links
اهلا وسهلا بكم في منتديات الاتحاد الكويتي لسباق حمام الزاجل كلمة الإدارة


> منتديات الاتحاد الكويتي لسباق حمام الزاجل > أخبار الاتحادات والاندية > اخبار هواة الحمام الزاجل في العراق > نتائج سباق النعمانية الاول لمسافة 150 كم في ملتقى جاسم بليبل

« آخـــر الـــمـــشـــاركــــات »
         :: نتيجة السباق الخامس عشر – منيفه 200 كم – لنادي الوفرة مشتركة (شرقي وغربي) (آخر رد :الأتحاد الكويتي)       :: نتيجة السباق الخامس عشر – منيفه 200 كم – لنادى الوفرة غربي (آخر رد :الأتحاد الكويتي)       :: نتيجة السباق الخامس عشر – منيفه 200 كم – لنادى الوفرة شرقي (آخر رد :الأتحاد الكويتي)       :: نتيجة السباق الخامس عشر – منيفه 200 كم – لنادى سلوى (آخر رد :الأتحاد الكويتي)       :: نتيجة السباق الخامس عشر – منيفه 200 كم – لنادى أم الهيمان (آخر رد :الأتحاد الكويتي)       :: نتيجة السباق الخامس عشر – منيفه 200 كم – لنادى الفنيطيس (آخر رد :الأتحاد الكويتي)       :: نتيجة السباق الخامس عشر – منيفه 200 كم – لنادى الفروانية (آخر رد :الأتحاد الكويتي)       :: نتيجة السباق الخامس عشر – منيفه 200 كم – لنادى العبدلي (آخر رد :الأتحاد الكويتي)       :: نتيجة السباق الخامس عشر – منيفه 200 كم – لنادى الصباحية (آخر رد :الأتحاد الكويتي)       :: نتيجة السباق الخامس عشر – منيفه 200 كم – السباقات المشتركة (آخر رد :الأتحاد الكويتي)      

موضوع مغلق
 
أدوات الموضوع إبحث في الموضوع انواع عرض الموضوع
قديم 01-19-2012, 02:24 AM رقم المشاركة : 1
معلومات العضو
عمار حميد
عضو جديد
افتراضي نتائج سباق النعمانية الاول لمسافة 150 كم في ملتقى جاسم بليبل

السلام عليكم
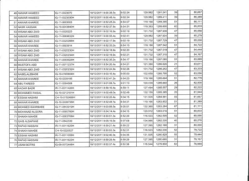
السادة اعضاء المنتدى الكرام نعرض على حضراتكم نتائج سباق البرايكون الذي اقيم في ملتقى جاسم بليبل
سباق النعمانية الاول لمسافة 150 كم









التوقيع

قديم 01-19-2012, 02:48 AM رقم المشاركة : 2
معلومات العضو
حجي مفرح
عضو مشارك
إحصائية العضو







آخر مواضيعي


حجي مفرح غير متواجد حالياً


افتراضي

مبروك للفائزين وهاردلك للبقية
والجايات اكثر
شـكــ وبارك الله فيك ـــرا لك ... لك مني أجمل تحية .







قديم 01-19-2012, 02:56 AM رقم المشاركة : 3
معلومات العضو
وسام ابو زيد
عضو خاص
افتراضي

الف مبروك للفائزين وخاصة ابو احمد نتائج ولااروع ومبروك للجميع وحظ اوفر للبقية في السباقات القادمة
مشكو عمار على عرض النتائج موفق بإذن الله ... لك مني أجمل تحية .







التوقيع

قديم 01-19-2012, 02:56 AM رقم المشاركة : 4
معلومات العضو
مشعل فالح
عضو الاتحاد
إحصائية العضو







آخر مواضيعي

مشعل فالح غير متواجد حالياً


افتراضي

الف مبروك للفائزين وحظ اوفر للباقين في السباقات القادمة*






قديم 01-19-2012, 03:11 AM رقم المشاركة : 5
معلومات العضو
مصطفى الشطري
عضو مبدع

الصورة الرمزية مصطفى الشطري

افتراضي

موفق بإذن الله ... لك مني أجمل تحية .







قديم 01-19-2012, 06:18 AM رقم المشاركة : 6
معلومات العضو
فهد الوطري
عضو الاتحاد
افتراضي

الف مبروك للفائزين وحظ اوفر للباقين في السباقات القادمة







التوقيع


visit our web : www.q8zajel.com

موقع مزادات كويت بيبا

www.q8pipa.com

قديم 01-19-2012, 03:52 PM رقم المشاركة : 7
معلومات العضو
سالم بن نهار
عضو نشط
إحصائية العضو







آخر مواضيعي


سالم بن نهار غير متواجد حالياً


افتراضي

الف مبروك للفائزين وحظ اوفر للباقين في السباقات القادمة*







قديم 01-19-2012, 04:42 PM رقم المشاركة : 8
معلومات العضو
تحسين ابو سامر
عضو خاص

الصورة الرمزية تحسين ابو سامر

إحصائية العضو







آخر مواضيعي

تحسين ابو سامر غير متواجد حالياً


افتراضي

الف الف مبروك لجميع الفائزين

مشكور اخي العزيز ابو ياسر على عرض النتائج

موفق بإذن الله ... لك مني أجمل تحية .







التوقيع

قديم 01-19-2012, 04:42 PM رقم المشاركة : 9
معلومات العضو
عباس حسين
عضو خاص
إحصائية العضو







آخر مواضيعي

عباس حسين غير متواجد حالياً


افتراضي

مشكور ابوياسر على عرض النتائج







قديم 01-19-2012, 05:12 PM رقم المشاركة : 10
معلومات العضو
محمد الفزير
عضو الاتحاد

الصورة الرمزية محمد الفزير

إحصائية العضو







آخر مواضيعي

محمد الفزير غير متواجد حالياً


افتراضي

الف مبروك للفائزين وحظ اوفر للي لم يحالفه الحظ
مشكور اخوي النحال على عرض النتائج
موفق بإذن الله ... لك مني أجمل تحية .







التوقيع

موضوع مغلق


تعليمات المشاركة
لا تستطيع إضافة مواضيع جديدة
لا تستطيع الرد على المواضيع
لا تستطيع إرفاق ملفات
لا تستطيع تعديل مشاركاتك

BB code is متاحة
كود [IMG] متاحة
كود HTML معطلة

الانتقال السريع


الساعة الآن 08:44 PM.


Powered by vBulletin® Special Version Ultimate Users, Copyright ©2000 - 2026, Jelsoft Enterprises Ltd.

Powered By SZ4h.com

جميع الحقوق محفوظة لموقع ومنتدي الاتحاد الكويتي لسباق حمام الزاجل