Links
اهلا وسهلا بكم في منتديات الاتحاد الكويتي لسباق حمام الزاجل كلمة الإدارة


> منتديات الاتحاد الكويتي لسباق حمام الزاجل > أخبار الاتحادات والاندية > اخبار جمعية الاتحاد الامارتي لسباق حمام الزاجل > نتيجة سباق حقل الرميثه5

« آخـــر الـــمـــشـــاركــــات »
         :: نتيجة السباق السابع - الجبيل 320 كم - لنادي الوفرة غربي (آخر رد :الأتحاد الكويتي)       :: نتيجة السباق السابع - الجبيل 320 كم - لنادي الوفرة شرقي (آخر رد :الأتحاد الكويتي)       :: نتيجة السباق السابع - الجبيل 320 كم - لنادي الوفرة مشتركة ( غربي وشرقي) (آخر رد :الأتحاد الكويتي)       :: نتيجة السباق العاشر - الجبيل 320 كم - لنادي سلوى (آخر رد :الأتحاد الكويتي)       :: نتيجة السباق العاشر - الجبيل 320 كم - لنادي أم الهيمان (آخر رد :الأتحاد الكويتي)       :: نتيجة السباق العاشر - الجبيل 320 كم - لنادي الفنيطيس (آخر رد :الأتحاد الكويتي)       :: نتيجة السباق العاشر - الجبيل 320 كم - لنادي الفروانية (آخر رد :الأتحاد الكويتي)       :: نتيجة السباق العاشر - الجبيل 320 كم - لنادي العبدلي (آخر رد :الأتحاد الكويتي)       :: نتيجة السباق العاشر - الجبيل 320 كم - لنادي الصباحية (آخر رد :الأتحاد الكويتي)       :: نتيجة السباق العاشر - الجبيل 320 كم - السباقات المشتركة (آخر رد :الأتحاد الكويتي)      

موضوع مغلق
 
أدوات الموضوع إبحث في الموضوع انواع عرض الموضوع
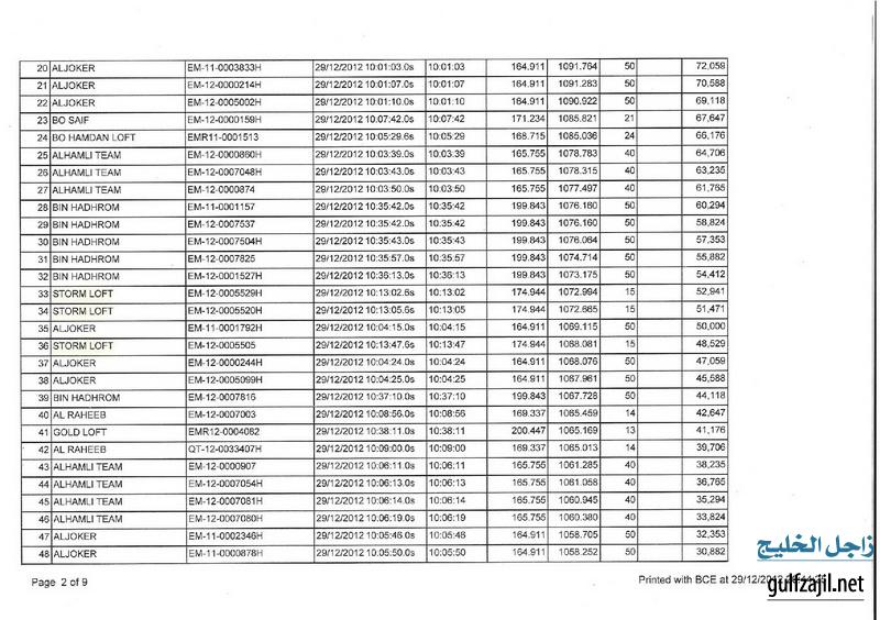
قديم 12-31-2012, 09:25 PM رقم المشاركة : 1
معلومات العضو
STORM
عضو خاص

الصورة الرمزية STORM

افتراضي نتيجة سباق حقل الرميثه5

بسم الله الرحمن الرحيم

السلام عليكم ورحمة الله وبركاته


أليكم نتيجة سباق حقل الرميثه لمسافة 150كم وتخلل السباق رياح شماليه

ألف مبروووك للفائزين وحظ أوفر للبقيه ان شاء الله










تحياتي للجميع






قديم 12-31-2012, 11:28 PM رقم المشاركة : 2
معلومات العضو
فهد الوطري
عضو الاتحاد
افتراضي

ألف مبروووك للفائزين وحظ أوفر للبقيه ان شاء الله







التوقيع


visit our web : www.q8zajel.com

موقع مزادات كويت بيبا

www.q8pipa.com

قديم 01-01-2013, 12:44 AM رقم المشاركة : 3
معلومات العضو
ابو جعفر
عضو خاص
إحصائية العضو








آخر مواضيعي

ابو جعفر غير متواجد حالياً


افتراضي

ألف مبروووك للفائزين وحظ أوفر للبقيه ان شاء الله







التوقيع

قديم 01-01-2013, 01:08 AM رقم المشاركة : 4
معلومات العضو
تحسين ابو سامر
عضو خاص

الصورة الرمزية تحسين ابو سامر

إحصائية العضو







آخر مواضيعي

تحسين ابو سامر غير متواجد حالياً


افتراضي

ألف مبروووك للفائزين وحظ أوفر للبقيه ان شاء الله







التوقيع

قديم 01-01-2013, 01:58 AM رقم المشاركة : 5
معلومات العضو
جواد كربلاء
عضو خاص
افتراضي

ألف مبروك .. لقد سعدت بهذا الخبر







التوقيع






ابو أمـــــــــير / 07808145100

قديم 01-01-2013, 02:40 AM رقم المشاركة : 6
معلومات العضو
عمر ابو هاشم
عضو جديد
افتراضي

ألف مبروك .. لقد سعدت بهذا الخبر







قديم 01-01-2013, 03:32 AM رقم المشاركة : 7
معلومات العضو
nabil
عضو خاص
إحصائية العضو







آخر مواضيعي

nabil غير متواجد حالياً


Cup

ألف مبروك .. لقد سعدت بهذا الخبر







قديم 01-01-2013, 04:11 PM رقم المشاركة : 8
معلومات العضو
وهاب الشمري
عضو مبدع
إحصائية العضو








آخر مواضيعي

0 استفسار
0 استفسار

وهاب الشمري غير متواجد حالياً


افتراضي

الف مبروك للفائزين وحظ اوفر للبقيه ان شاء الله







قديم 01-01-2013, 08:03 PM رقم المشاركة : 9
معلومات العضو
انور الزيدي
عضو هام

الصورة الرمزية انور الزيدي

افتراضي

ألف مبروك .. لقد سعدت بهذا الخبر







التوقيع

يقول فيثاغورث : كثرة حسادك شهادة لك على نجاحك

قديم 01-03-2013, 09:41 PM رقم المشاركة : 10
معلومات العضو
علي الميع
المدير العام
افتراضي

ألف مبروووك للفائزين وحظ أوفر للبقيه ان شاء الله






موضوع مغلق


تعليمات المشاركة
لا تستطيع إضافة مواضيع جديدة
لا تستطيع الرد على المواضيع
لا تستطيع إرفاق ملفات
لا تستطيع تعديل مشاركاتك

BB code is متاحة
كود [IMG] متاحة
كود HTML معطلة

الانتقال السريع


الساعة الآن 07:01 PM.


Powered by vBulletin® Special Version Ultimate Users, Copyright ©2000 - 2026, Jelsoft Enterprises Ltd.

Powered By SZ4h.com

جميع الحقوق محفوظة لموقع ومنتدي الاتحاد الكويتي لسباق حمام الزاجل